Coucou !
Tout d'abord, je suis désolée d'apporter seulement aujourd'hui une réponse à ta question, mais du fait d'un problème, c'est moi qui reprends temporairement ce cours jusqu'à samedi (pour le moment).
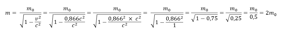
Pour répondre à ta question, en fait c'est juste une histoire de
simplification !
En fait, on te dit que la
vitesse = 0,866c, le "
c" ici correspond à la
célérité donc t'as juste à le
simplifier dans l'équation ce qui te donne en plus détaillé :

- Calcul m.png (9.66 Kio) Vu 177 fois
Donc encore une fois tu vois qu'on a juste
simplifié les deux c2Voilà, j'espère que c'est plus clair pour toi

Si c'est pas le cas n'hésites pas à me le dire !!