Le Guide pour bien débuter la LAS : Ici

Tutoriel Forum : Ici

Planning des Séances Tutorat et EB : ICI !
Errata : Séances Tutorat et EB, Annatuts, Ronéos
Centres de Téléchargement : ICI !
Réponses des Profs : ICI !
Annales : Achat, Corrections Officieuses
Annatuts : 2025-2026, Sommaire
MCC 25/26 : ICI
Candidature MMOPK : ICI
Terminale Santé : ICI

CORRECTION ST 4 : Ici

Newsletter : ICI


QCM 16 tutorat du 26/11


QCM 16 tutorat du 26/11

Messagepar ♦MC♦ » 26 Nov 2013, 22:00

Salut !
Question, au QCM 16, T2 c'est pas 600 ? Et T1 : 298 ?

Merci d'avance :)
Dernière édition par ♦MC♦ le 27 Nov 2013, 11:01, édité 1 fois.
TCS 2017
Co-Rédacteur - La Passoire 2015/2016
Ronéiste UE3B Biophy-Physio 2015/2016
Co-Auteur des Ficelles de la Bio' Cell' 2014/2015
Co-Rédacteur - Carabin déchaîné (Actu. Scientifiques) 2014/2015
Ronéiste UE3B Biophy-Physio 2014/2015
Avatar de l’utilisateur
♦MC♦
Carabin addicted
 
Messages: 1794
Inscription: 28 Juin 2012, 14:52

Re: QCM 16 tutorat du 26/11

Messagepar •Athéna• » 26 Nov 2013, 22:07

totalement d'accord dans la formule c'est (1/T2 - 1/T1)
Image
Avatar de l’utilisateur
•Athéna•
Carabin vétéran
 
Messages: 307
Inscription: 05 Oct 2012, 20:17

Re: QCM 16 tutorat du 26/11

Messagepar •Athéna• » 26 Nov 2013, 22:08

mais je crois que comme il y a un "moins" en plus ca reviens au même enfait ^^
Image
Avatar de l’utilisateur
•Athéna•
Carabin vétéran
 
Messages: 307
Inscription: 05 Oct 2012, 20:17

Re: QCM 16 tutorat du 26/11

Messagepar Happiness » 26 Nov 2013, 22:10

Je te renvoie au post de cet aprem : viewtopic.php?f=480&t=45498
Soyons sérieux, restons allumés !


Image


Avatar de l’utilisateur
Happiness
Carabin No Life
 
Messages: 869
Inscription: 04 Juil 2012, 07:54

Re: QCM 16 tutorat du 26/11

Messagepar ♦MC♦ » 26 Nov 2013, 22:33

Justement, ils n'ont pas écrit la même chose non ?

La formule initiale est : Lorsque tu mets un "-", on a (1/T2 - 1/T1), lorsque c'est "+", on met (1/T1-1/T2), or ici, j'ai l'impression que c'est l'inverse ?
TCS 2017
Co-Rédacteur - La Passoire 2015/2016
Ronéiste UE3B Biophy-Physio 2015/2016
Co-Auteur des Ficelles de la Bio' Cell' 2014/2015
Co-Rédacteur - Carabin déchaîné (Actu. Scientifiques) 2014/2015
Ronéiste UE3B Biophy-Physio 2014/2015
Avatar de l’utilisateur
♦MC♦
Carabin addicted
 
Messages: 1794
Inscription: 28 Juin 2012, 14:52

Re: QCM 16 tutorat du 26/11

Messagepar simpson » 26 Nov 2013, 22:37

+1 je comprends pas aussi je suis d'accord avec les 2 formules ecrites dans la correction mais pour moi T1 =298K et T2= 600K non ? :)
simpson
Carabin confirmé
 
Messages: 76
Inscription: 01 Nov 2012, 11:13

Re: QCM 16 tutorat du 26/11

Messagepar ∅MEGA » 26 Nov 2013, 22:48

+1
Avatar de l’utilisateur
∅MEGA
Security Manager
 
Messages: 471
Inscription: 26 Mai 2013, 22:23

Re: QCM 16 tutorat du 26/11

Messagepar Nouni » 27 Nov 2013, 08:37

+1
Nouni
Carabin vétéran
 
Messages: 349
Inscription: 05 Oct 2013, 19:04

Re: QCM 16 tutorat du 26/11

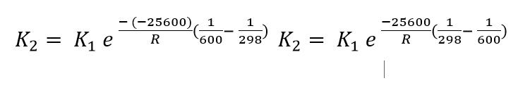
Messagepar RLG » 27 Nov 2013, 09:58

salut à tous :)
alors voici les formules correspondantes il me semble bien qu'elles correspondent au item A et B

Capture d'écran 2013-11-27 09.55.36.png
Capture d'écran 2013-11-27 09.55.36.png (6.84 Kio) Vu 261 fois
Tuteur chimie G 2013/2014

Ronéiste UE11 2013/2014

Image
Avatar de l’utilisateur
RLG
Tut' Chimie
 
Messages: 653
Inscription: 28 Aoû 2012, 18:01

Re: QCM 16 tutorat du 26/11

Messagepar ♦MC♦ » 27 Nov 2013, 10:27

X/ J'avais pas vu que l'enthalpie de réaction était elle-même déjà négative.

Vous avez raison :P

Désolé !
TCS 2017
Co-Rédacteur - La Passoire 2015/2016
Ronéiste UE3B Biophy-Physio 2015/2016
Co-Auteur des Ficelles de la Bio' Cell' 2014/2015
Co-Rédacteur - Carabin déchaîné (Actu. Scientifiques) 2014/2015
Ronéiste UE3B Biophy-Physio 2014/2015
Avatar de l’utilisateur
♦MC♦
Carabin addicted
 
Messages: 1794
Inscription: 28 Juin 2012, 14:52

Re: QCM 16 tutorat du 26/11

Messagepar RLG » 27 Nov 2013, 12:04

Tkt ça arrive meme au meilleur :)
Tuteur chimie G 2013/2014

Ronéiste UE11 2013/2014

Image
Avatar de l’utilisateur
RLG
Tut' Chimie
 
Messages: 653
Inscription: 28 Aoû 2012, 18:01


Retourner vers Chimie Générale



Qui est en ligne

Utilisateurs parcourant ce forum: Aucun utilisateur enregistré et 0 invités