Salut

Merci Raboucho, je complète vite fait tes réponses

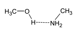
- Liaison Hydrogène.png (4.13 Kio) Vu 260 fois
Voilà une liaison Hydrogène, entre un H et un N, qu'on représentera par des pointillés (trait simple exclusif aux liaisons covalentes)
L'H devra être lié à un hétéroatome, pas à un C de façon à ce que la différence d'électronégativité soit importante (celle du C est trop proche de celle de l'H). L'hétéroatome devra être chargé négativement (partiellement ou formellement), ici l'hétéoatome est un O, la charge est partielle.
Cet hétéroatome (ici O) sera chargé négativement, il attirera les électrons de la liaisons OH de par son électronégativité supérieur à celle de l'H (l'H sera donc +)
L'azote sera lui aussi chargé -, son électronégativité sera supérieur à celle du C
Enfin, une petite maladresse de Raboucho, une liaison hydrogène n'est pas exclusif à deux molécules différentes, on peut avoir des liaisons hydrogènes intra-moléculaires, vous avez dû les rencontrer en bioch, notamment lorsque vous avez étudié les feuillets bêta et les hélices alpha.
Voilà pour moi