Le Guide pour bien débuter la LAS : Ici

Tutoriel Forum : Ici

Planning des Séances Tutorat et EB : ICI !
Errata : Séances Tutorat et EB, Annatuts, Ronéos
Centres de Téléchargement : ICI !
Réponses des Profs : ICI !
Annales : Achat, Corrections Officieuses
Annatuts : 2025-2026, Sommaire
MCC 25/26 : ICI
Candidature MMOPK : ICI
Terminale Santé : ICI

CORRECTION ST 4 : Ici

Newsletter : ICI


QCM 5 tutorat


QCM 5 tutorat

Messagepar BABE » 31 Oct 2013, 20:55

Salut :)

Est ce que vous pouvez me faire une correction détaillée parce que je n'ai pas compris pourquoi c'était cet ordre !!

Merci :D
VENTES PRIVEES : FICHES PREPA/ QCM / ANNALES !!!
--> viewtopic.php?f=2&t=55470
Avatar de l’utilisateur
BABE
Carabin addicted
 
Messages: 1197
Inscription: 14 Sep 2012, 12:01

Re: QCM 5 tutorat

Messagepar ak777 » 31 Oct 2013, 21:32

+1 :)
ak777
Carabin vétéran
 
Messages: 369
Inscription: 21 Aoû 2013, 20:24

Re: QCM 5 tutorat

Messagepar Guillaume.M » 31 Oct 2013, 21:57

pareil excusez mon intrusion mais je trouvé exactement l'inverse de la réponse , fin pour moi par ordre croissant c'est la moins acide à la plus acide et la c'est de la plus acide à la moins acide !! c'est par ordre décroissant que le classement à était fait :/
Image
Avatar de l’utilisateur
Guillaume.M
Carabin Geek
 
Messages: 734
Inscription: 10 Oct 2012, 17:13

Re: QCM 5 tutorat

Messagepar papamaster » 31 Oct 2013, 22:25

Nan c'est bien le bon ordre mais j'ai fait un lapsus dans la correction. L'acide le plus puissant aura la base conjuguee la plus stable et l'acide le plus faible aura une base conjuguee instable. Donc tu dois ranger les molecules dans l'ordre de la base conjuguee la moins stable a la base conjuguee la plus stable.
Opehé
[align=center]Image
Avatar de l’utilisateur
papamaster
Carabin vétéran
 
Messages: 295
Inscription: 10 Oct 2012, 11:28

Re: QCM 5 tutorat

Messagepar tylershields » 31 Oct 2013, 23:25

J'ai une petite question sur ce QCM, pour moi a distance egale, un Cl rends la molecule plus acide qu'un F car l'acidité augmente avec le rayon de l'halogène non ? La 1 devrait passer aprés la 4 dans l'ordre donc

Dites moi si je me trompe :)
tylershields
Apprenti Carabin
 
Messages: 219
Inscription: 29 Nov 2012, 15:15

Re: QCM 5 tutorat

Messagepar AhmedT » 01 Nov 2013, 01:49

Non, c'est le contraire en fait :)

L'effet inductif du fluor est plus important que celui du chlore, l'attraction des électrons par le fluor sera donc plus importante.
Cet effet inductif attracteur a tendance à stabiliser nos base, rendant nos acide plus fort.
Donc l'acide 4 sera plus fort que l'acide 1, car la base 4 est plus stabilisé que la base 1

Compris ?
Tuteur Chimie Organique 2013/2014
Ronéiste UE 15 2013/2014 - 2014/2015
Ronéiste Chimie Organique 2014/2015
Administrateur Forum 2016/2017


" We are all stories in the end, just make it a good one, eh "

Image
Avatar de l’utilisateur
AhmedT
CM Forum
 
Messages: 515
Inscription: 23 Oct 2011, 14:15

Re: QCM 5 tutorat

Messagepar BABE » 01 Nov 2013, 08:40

Et donc c'est quoi le bon ordre du - acide au + acide ? :)
VENTES PRIVEES : FICHES PREPA/ QCM / ANNALES !!!
--> viewtopic.php?f=2&t=55470
Avatar de l’utilisateur
BABE
Carabin addicted
 
Messages: 1197
Inscription: 14 Sep 2012, 12:01

Re: QCM 5 tutorat

Messagepar ak777 » 01 Nov 2013, 16:09

si on voit un atome plus electronegatif que celui de l'acide, il y a systématiquement effet inductif attracteur I- ?
ak777
Carabin vétéran
 
Messages: 369
Inscription: 21 Aoû 2013, 20:24

Re: QCM 5 tutorat

Messagepar ak777 » 01 Nov 2013, 16:14

papamaster a écrit: Donc tu dois ranger les molecules dans l'ordre de la base conjuguee la moins stable a la base conjuguee la plus stable.

dsl j'ai pas compris le raisonnement.
ak777
Carabin vétéran
 
Messages: 369
Inscription: 21 Aoû 2013, 20:24

Re: QCM 5 tutorat

Messagepar ak777 » 01 Nov 2013, 16:17

la base conjugée de SOOOH est SOOO- il possede un charge formelle - ( donc il a un effet inductif donneur)
voila c'est ça qui m'embrouille
ak777
Carabin vétéran
 
Messages: 369
Inscription: 21 Aoû 2013, 20:24

Re: QCM 5 tutorat

Messagepar LéaHvn » 01 Nov 2013, 17:50

BOnjour ;)

Donc la mol 2 est la moins stable du fait d'effet mesomere par l' Oxygènes ?
En quoi la 5 est plus stable que la 2 ?

Pareil après en quoi l'ajout de grosses mol stabilise l'édifice ?

Ce serait cool que vous nous fassiez une explication pour chacune enfait ^^

Merci ;)
LéaHvn
Carabin addicted
 
Messages: 1101
Inscription: 01 Aoû 2013, 10:53

Re: QCM 5 tutorat

Messagepar AhmedT » 01 Nov 2013, 22:17

Bonsoir tout le monde

Je vous refais le QCM en entier, ce sera plus simple

Faite abstraction du groupement SO3H, il n'y a que R (le groupement à gauche) qui nous intéresse


On va passer toutes nos molécules en base, chacune portera une charge -
Une charge - est stabilisée par un effet attracteur (la charge - sera atténué, stabilisation) et destabilisée par un effet donneur (la charge - sera renforcé, détabilisation)

Plus une base est stable, plus l'acide est fort

On regarde nos molécules maintenant

Molécule 1: Effet attracteur du chlore assez proche du groupement, stabilisateur
Molécule 3: Effet attracteur du chlore plus éloigné, base moins stabilisé que la molécule 1,3<1
Molécule 4: Effet attracteur du fluor assez proche du groupement, stabilisateur. Le F possède un effet inductif plus fort que le chlore (plus haut), donc la stabilisation de la base sera plus importante, 3<1<4

Molécule 5: Effet inductif donneur, déstabilise, 5<3<1<4
Molécule 2: Effet inductif donneur+ 2 effet inductifs donneurs atténués, déstabisation ++, 2<5<3<1<4

Mieux pour tout le monde ?
Tuteur Chimie Organique 2013/2014
Ronéiste UE 15 2013/2014 - 2014/2015
Ronéiste Chimie Organique 2014/2015
Administrateur Forum 2016/2017


" We are all stories in the end, just make it a good one, eh "

Image
Avatar de l’utilisateur
AhmedT
CM Forum
 
Messages: 515
Inscription: 23 Oct 2011, 14:15

Re: QCM 5 tutorat

Messagepar BABE » 02 Nov 2013, 07:19

Beaucoup mieux !

Pour la molécule 2, les 2 effets inductifs donneurs je n'en vois qu'un seul (le CH3)
Om est le 2ème ?

Merci pour cette correction détaillée :)
VENTES PRIVEES : FICHES PREPA/ QCM / ANNALES !!!
--> viewtopic.php?f=2&t=55470
Avatar de l’utilisateur
BABE
Carabin addicted
 
Messages: 1197
Inscription: 14 Sep 2012, 12:01

Re: QCM 5 tutorat

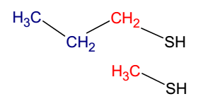
Messagepar AhmedT » 02 Nov 2013, 12:41

Yo

Chaque C possède un effet, les C rouge ont un effet normal, les C bleus un effet atténué du fait de la distance, mais existant tt de même
Id+.png
Id+.png (5.57 Kio) Vu 203 fois
Tuteur Chimie Organique 2013/2014
Ronéiste UE 15 2013/2014 - 2014/2015
Ronéiste Chimie Organique 2014/2015
Administrateur Forum 2016/2017


" We are all stories in the end, just make it a good one, eh "

Image
Avatar de l’utilisateur
AhmedT
CM Forum
 
Messages: 515
Inscription: 23 Oct 2011, 14:15

Re: QCM 5 tutorat

Messagepar ak777 » 02 Nov 2013, 13:14

AhmedT a écrit:Une charge - est stabilisée par un effet attracteur (la charge - sera atténué, stabilisation) et destabilisée par un effet donneur (la charge - sera renforcé, détabilisation)

dsl c'est pas le contaire plutot? Le Cl est chargé - (charge formelle) donc il aura tendance a donner son é pour se stabiliser, il a donc un effet donneur +I :question:
ak777
Carabin vétéran
 
Messages: 369
Inscription: 21 Aoû 2013, 20:24

Re: QCM 5 tutorat

Messagepar ak777 » 02 Nov 2013, 13:32

ah c'est bon j'ai compris, c'est la base qui porte une charge formelle - donc elle a un effet donneur +I
ak777
Carabin vétéran
 
Messages: 369
Inscription: 21 Aoû 2013, 20:24


Retourner vers Chimie Organique



Qui est en ligne

Utilisateurs parcourant ce forum: Aucun utilisateur enregistré et 0 invités