
La réponse est la A.
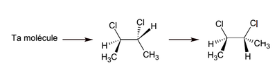
Pourquoi la 4 est chirale?
Parce qu'après avoir fait des rotations de son image dans le miroir je trouve exactement la même molécule..
Merci d'avance, bonne journée!





Retourner vers Chimie Organique
Utilisateurs parcourant ce forum: Aucun utilisateur enregistré et 0 invités