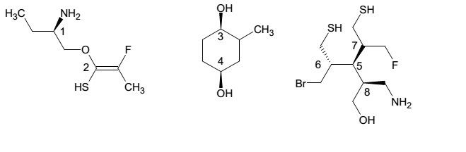
Je suis en train de m'entrainer sur la configuration R/S avec l'exercice qui a été donné sur le diapo du cours 1 (diapo 44) et je bloque pour la molécule 4 : (voir plus bas)
Je trouve une configuration R (j'ai réessayé et j'ai retrouvé ça..) alors je voilà ce que j'ai mis :
a = OH ; b = CH2CH2CHOH ; c = CH2CHCH3 ; d = H
On a H qui est déjà en arrière donc on a directement une configuration R puisqu'on commence par le OH du bas, non ?
Si non, quelqu'un pourrait-il/elle m'expliquer ?
Je suis un peu confus là
Merci d'avance

