Salut

J'en ai un qui devrait t'éclairer
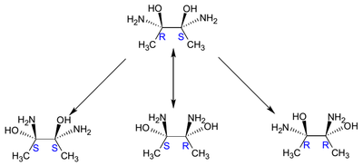
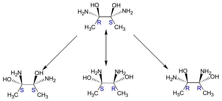
La molécule du haut est un composé méso, tu observes facilement l'axe de symétrie
Les molécules en haut et en bas sont les mêmes, il suffit de faire une rotation de 180° pour passer de l'une à l'autre, il ne s'agit dc pas de stéréoisomères de configuration.
Ainsi, tu as ici 2 C*, donc 2^n=2²=4. Du fait du méso, tu enlèves une représentation moléculaire ce qui te donne 3 stéréoisomères de configuration possible pour cette molécule.
C'est mieux?

Tuteur Chimie Organique 2013/2014
Ronéiste UE 15 2013/2014 - 2014/2015
Ronéiste Chimie Organique 2014/2015
Administrateur Forum 2016/2017
" We are all stories in the end, just make it a good one, eh "