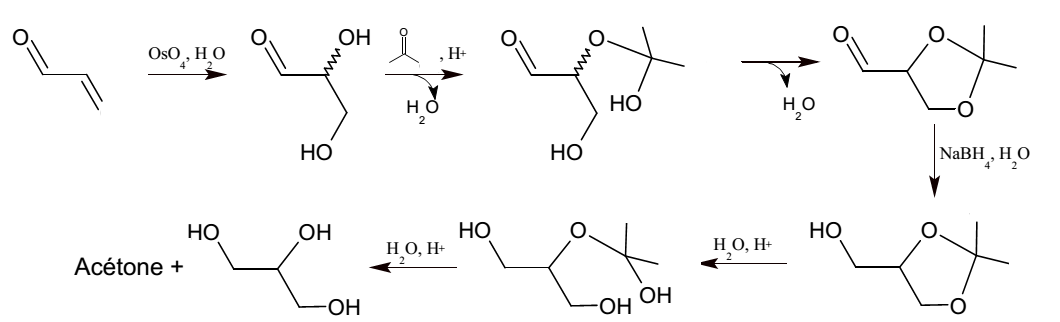
y'a certaines corrections que je ne comprend pas concernant cette séance:
QCM 6 C
je ne voit pas trop ce qui reste à réduire sachant qu'on a une fonction acétal dès la 2ème réaction, donc je visualise pas trop
est-ce qu'une âme charitable pourrait me faire la chaine réactionnelle ?
QCM7 C
je ne comprend pas pourquoi, il est faux, j'ai trouvé ce composé en faisant la crotonisation , où est mon erreur ?
MERCI


