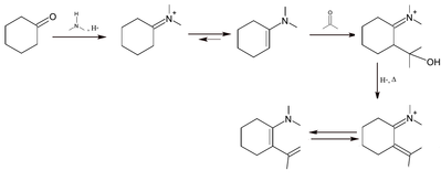
à propos de la deuxième chaine réactionelle ronéo 7 page 8
après la seconde réaction, j'ai l'impression qu'il y a 2 atomes d'hydrogene qui sortent de nul part, j'ai beau me creuser la tête, je vois pas d'où ils sortent
il manquerais pas quelque chose?


