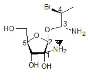
tout est dans le titre je ne comprend pas comment faire la configuration de ce carbone car qd on met le cycle à plat le groupement d est dans le plan et comme c'est un cycle on ne peut pas faire de rotation
si qqn a une méthode pour ce genre d'exo ce serait coolos
la bonne configuration est 1R
MERCI pour les réponses



