Le Guide pour bien débuter la LAS : Ici

Tutoriel Forum : Ici

Planning des Séances Tutorat et EB : ICI !
Errata : Séances Tutorat et EB, Annatuts, Ronéos
Centres de Téléchargement : ICI !
Réponses des Profs : ICI !
Annales : Achat, Corrections Officieuses
Annatuts : 2025-2026, Sommaire
MCC 25/26 : ICI
Candidature MMOPK : ICI
Terminale Santé : ICI

INSCRIPTIONS ATELIERS ORAUX : Ici

SUJETS EB SEMESTRE 2 : Ici

Newsletter : ICI


DM Réactivité avancée


DM Réactivité avancée

Messagepar DavidK » 16 Déc 2013, 17:29

Hello! Alors bon déjà méga merci pour ce DM :D
J'ai quelques questions...

QCM10 réaction 2, PCl3, Et3N? x)

Pour la réaction du QCM11/12, j'ai pas compris pourquoi la réaction 2 était possible sous catalyse acide... Ca donne quoi?

Au QCM14 item C, pourquoi la réaction 7 est stéréosélective? C'est parce qu'un des deux composés formés lors de la réaction 3 va donner un composé chiral à la réaction 7? Parce que bon dans la molécule considérée dans la correction je vois pas de carbone asymétrique en fait :<

Voilà! :>
Avatar de l’utilisateur
DavidK
Carabin confirmé
 
Messages: 65
Inscription: 22 Sep 2012, 09:22

Re: DM Réactivité avancée

Messagepar AhmedT » 16 Déc 2013, 18:37

Salut :)

DavidK a écrit:QCM10 réaction 2, PCl3, Et3N? x)


Et3N n'a rien à faire là, il faut le supprimer :)

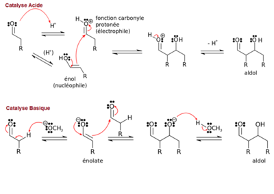
DavidK a écrit:Pour la réaction du QCM11/12, j'ai pas compris pourquoi la réaction 2 était possible sous catalyse acide... Ca donne quoi?


Ça te donnera la même chose, le mécanisme sera juste différent
Aldolisation Catlyse.png


DavidK a écrit:u QCM14 item C, pourquoi la réaction 7 est stéréosélective? C'est parce qu'un des deux composés formés lors de la réaction 3 va donner un composé chiral à la réaction 7? Parce que bon dans la molécule considérée dans la correction je vois pas de carbone asymétrique en fait :<


L'Item 14 C est faux bien sur, la réaction n'est pas stéréosélective, il n'y pas de carbone symétrique

Voilà, j'ai un DM à éditer, merci d'avoir notifié ces erreurs :)
Tuteur Chimie Organique 2013/2014
Ronéiste UE 15 2013/2014 - 2014/2015
Ronéiste Chimie Organique 2014/2015
Administrateur Forum 2016/2017


" We are all stories in the end, just make it a good one, eh "

Image
Avatar de l’utilisateur
AhmedT
CM Forum
 
Messages: 515
Inscription: 23 Oct 2011, 15:15

Re: DM Réactivité avancée

Messagepar Champotte » 16 Déc 2013, 19:02

+ QCM 9 c'est un ion nitronium NO2+ je crois :)

+ QCM 11 pour la réaction 2 il y a choix :/ entre propanal ou propan-2-one, du coup je suis partis dans un sal délire de mon côté avec la cétone
Vice-Président Partenariat 2015-2016
Champotte
VP Partenariat
 
Messages: 686
Inscription: 19 Sep 2013, 21:56
Localisation: PACES

Re: DM Réactivité avancée

Messagepar AhmedT » 16 Déc 2013, 19:38

* Zut, effectivement + et nn -

* Là aussi, zut, je me suis trompé de sujet, je vs parle du propanal. Désolé de ne pas avoir mis en place ton délire

Merci pr les remarques :)
Tuteur Chimie Organique 2013/2014
Ronéiste UE 15 2013/2014 - 2014/2015
Ronéiste Chimie Organique 2014/2015
Administrateur Forum 2016/2017


" We are all stories in the end, just make it a good one, eh "

Image
Avatar de l’utilisateur
AhmedT
CM Forum
 
Messages: 515
Inscription: 23 Oct 2011, 15:15

Re: DM Réactivité avancée

Messagepar DavidK » 16 Déc 2013, 21:10

En y réflechissant je crois que l'item A du QCM14 est faux aussi, on peut pas faire d'acétalisation entre un aldéhyde et cétone non?
Avatar de l’utilisateur
DavidK
Carabin confirmé
 
Messages: 65
Inscription: 22 Sep 2012, 09:22

Re: DM Réactivité avancée

Messagepar AhmedT » 17 Déc 2013, 02:10

Si, il n'y a pas de problème ici:
*Entre un aldéhyde et une cétone, tu peux créer une fonction acétale et une fonction cétal
*Entre 2 aldéhydes, tu créeras 2 fctions acétals
*Entre 2 cétones, tu créeras 2 fctions cétals

La différence entre un acétal et un cétal, c'est le C qui porte les 2 O. S'il lie un H et un R, la fonction sera acétal. S'il lie deux R, la fonction sera cétal
Tuteur Chimie Organique 2013/2014
Ronéiste UE 15 2013/2014 - 2014/2015
Ronéiste Chimie Organique 2014/2015
Administrateur Forum 2016/2017


" We are all stories in the end, just make it a good one, eh "

Image
Avatar de l’utilisateur
AhmedT
CM Forum
 
Messages: 515
Inscription: 23 Oct 2011, 15:15


Retourner vers Chimie Organique



Qui est en ligne

Utilisateurs parcourant ce forum: Aucun utilisateur enregistré et 1 invité