Salut

Dans tes exemples, il te manque un bon groupe partant, la déshydrogénation n'est pas au programme P1
Pour te faire un résumer :
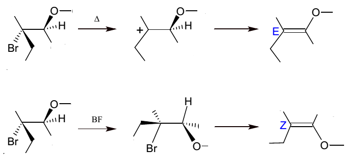
*Elimination 1: Favorisé par le
chauffage, tu ne seras pas limité par la position du proton, ton groupe partant partira d'abord seul, tu formeras ensuite majoritairement des alcènes E parce que plus stable, les plus gros substituants seront opposés l'un par rapport à l'autre
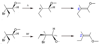
*Elimination 2: Favorisé par les
Bases Fortes, ton nucléofuge partira avec un proton situé en anti-coplanaire, la configuration E/Z dépendra de la position de tes substituants, t'auras pas le choix.
Voilà tes exemples ac un groupe partant:
Dans l'exemple 1, tu as départ de ton nucléofuge, puis les substituants du carbone en face vont rotater de manière à former l'alcène E
Dans l'exemple 2, Br et H partent ensemble, ils se positionnent l'un à l'opposer de l'autre, pui la double liaison se forme sans rotation des substituants, ta configuration est Z ici
Concernant l'exemple de la ronéo, non tu n'as pas tord, c'est bien ça, formation de l'alcène Z, tu as une E2, la BF est symbolisé par HO-
Est ce que j'ai répondu à ta question ?
