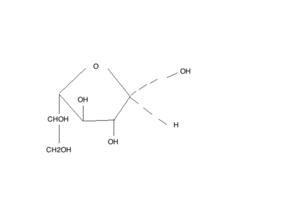
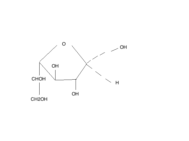
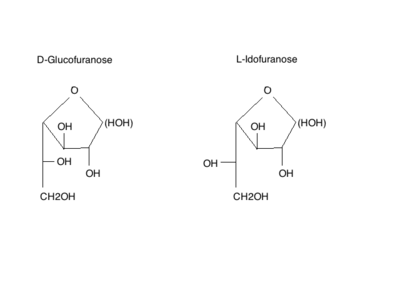
Alors j'ai un petit soucis de représentation de la forme cyclique du Glucose sous forme de Furane c'est à dire en établissant une liaison C1 --> C4 ?? ...
Si quelqu'un peut me faire un petit schéma de la chose ça serait Tip top !!
Ah et aussi j'avais vu une fois dans un des cours qu'on pouvait réaliser une formation d'un diholoside avec tout les carbones sauf le carbone 5 ! Car justement dans la mise en forme d'un cycle Pyrane avec toujours notre Glucose on va bien établir une liaison C1 --> C5
Donc je pense qu'il faudrait spécifier par rapport à si c'est une cyclisation Furane ou si c'est une cyclisation Pyrane non ?
Merci bien !



