J'ai une ou deux questions : Alors que je lisais la ronéo n°1 de 2011-2012 de bioch (structure et diversité des biomolécules), je suis arrivé à une phrase qui m'a un peu bloqué.
C'est par rapport au pk et aux fonctions acides/aminées :
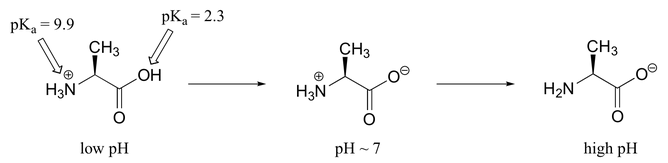
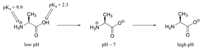
Il est écrit : "On parle de pk1 pour la fonction acide et de pk2 pour la fonction aminée et chacune a une valeur. [...] Prenez connaissance des valeurs de ces deux fonctions: 2.3 fonction carboxylique; 9.6 fonction aminée."
Cependant je ne suis pas sur d'avoir compris. Comment trouve t-on le pk d'une molécule ? On nous le donne dans l'énoncé si on tombe dessus sur un QCM ? Et selon ce pk, l'AA sera donc composé de NH2 ou de NH3+ ou ça n'a rien a voir ?
Est-ce que la forme des AA change en fonction du pH ou d'autre chose ? Je suis un peu confus
Ou c'est une erreur et il est question du pKa ?
Ceci n'est pas noté dans la fiche de la tut'rentrée mais je suppose que je peux très prochainement en entendre parler donc bon..
Merci d'avance
