par Camhydroxyle » 08 Oct 2025, 15:10
Salut !
Pas de souci, il ne faut pas hésiter à demander qu'on vous explique différemment les choses, surtout en chimie !!
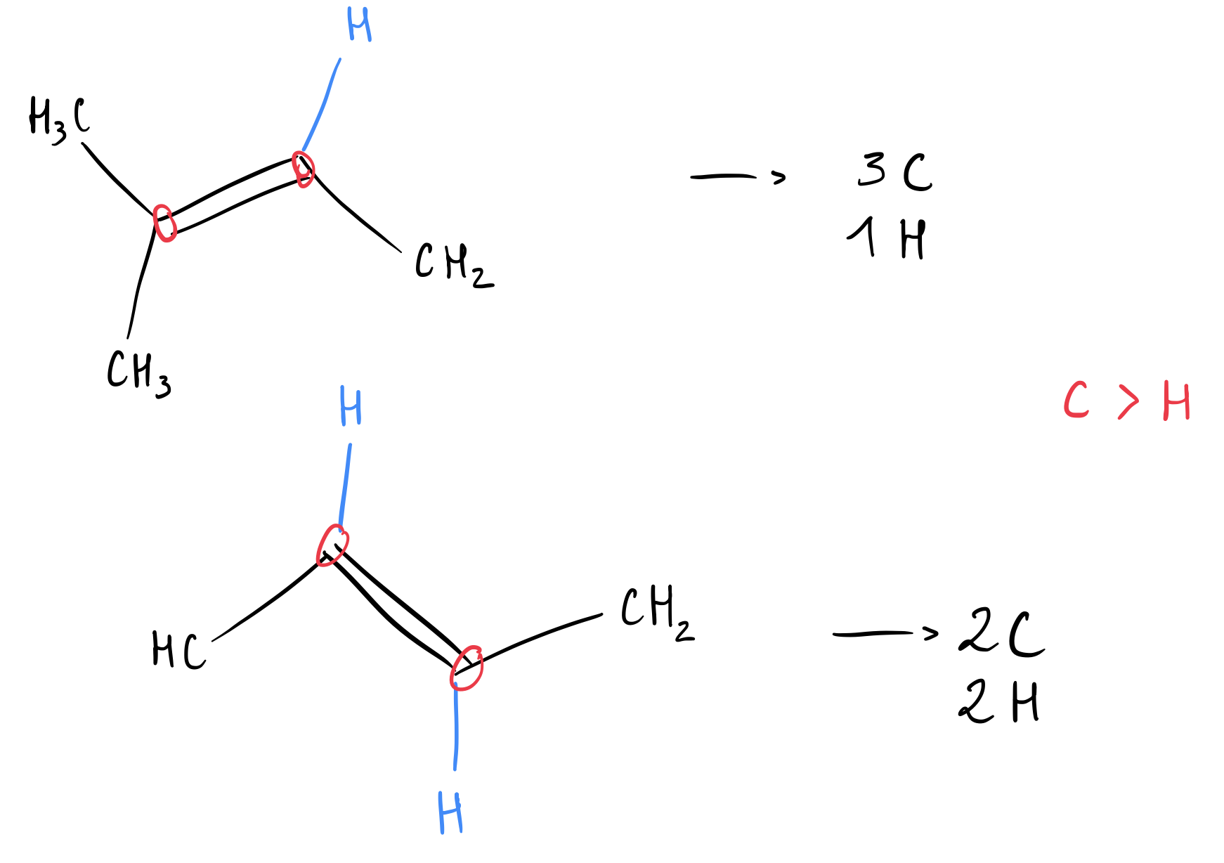
Je t'ai fais un schéma, il faut que tu te concentres seulement sur la double liaison, que tu regardes les subtituants (=atomes ou groupement) liés aux carbones de la liaison (entourés en rouge).
J'ai représenté les H non écrits aussi.
Tu pourras voir que la première molécule à 3 substituants carbonés et la 2e n'en a que 2 ( car les 2 autres substituants sont des H ).
Est ce que c'est assez clair ou pas ?
Dis toi substituants = ce qui est relié à la double liaison.
- Fichiers joints
-

- Capture d’écran 2025-10-08 à 15.05.52.png (140.93 Kio) Vu 44 fois