Le Guide pour bien débuter la LAS : Ici

Tutoriel Forum : Ici

Planning des Séances Tutorat et EB : ICI !
Errata : Séances Tutorat et EB, Annatuts, Ronéos
Centres de Téléchargement : ICI !
Réponses des Profs : ICI !
Annales : Achat, Corrections Officieuses
Annatuts : 2025-2026, Sommaire
MCC 25/26 : ICI
Candidature MMOPK : ICI
Terminale Santé : ICI

INSCRIPTIONS ATELIERS ORAUX : Ici

SUJETS EB SEMESTRE 2 : Ici

Newsletter : ICI


Règle de Zaitsev


Règle de Zaitsev

Messagepar Dadoujof » 25 Sep 2025, 14:26

Bonjour,
serait-il possible d'expliquer cette règle en détail, je n'ai pas compris ces histoires de substitutions majoritaires.
Merci !
Dadoujof
Carabin débutant
 
Messages: 24
Inscription: 27 Juil 2025, 16:35

Re: Règle de Zaitsev

Messagepar Camhydroxyle » 25 Sep 2025, 19:51

Salut !! Pas de souci

La règle de Zaïtsev :
l’alcène le + substitué est majoritaire car +stable/- d’énergie

Que veut-on dire par là ?
Lors d'une élimination, on forme un alcène (C=C) mais souvent la double liaison a la possibilité de se mettre dans différentes positions. On a ainsi plusieurs produits après une élimination. Mais ce n'est pas 50/50, il y en a un majoritaire à l'autre car il est + stable et demande moins d'énergie pour être formé : c'est l'alcène le plus substitué.
Ça veut dire que celui qui a le plus de substituant ( groupements liés aux carbones de la double liaison) sera en + grande quantité.

Dans une E2, la base arrache un proton (H⁺) sur le carbone β (voisin du carbone portant le groupe partant). Plusieurs hydrogènes β sont parfois disponibles.
L’arrachement du H qui conduit à l’alcène le plus substitué donnera le produit thermodynamiquement le plus stable → donc majoritaire.

Pourquoi ça ?
Une double liaison C=C est d’autant plus stable qu’elle est substituée (chaque substituant alkyle stabilise la double liaison par hyperconjugaison et effet inductif donneur).
Ainsi, un alcène tétrasubstitué est plus stable qu’un trisubstitué, qui est plus stable qu’un disubstitué, etc.

Est ce que c'est tout bon ?
Bon courage pour la suite !!
Camhydroxyle
Tut' Chimie
Tut' Chimie
 
Messages: 160
Inscription: 19 Aoû 2024, 21:35

Re: Règle de Zaitsev

Messagepar Dadoujof » 25 Sep 2025, 20:24

Sur le principe oui, mais je ne comprends pas comment le plus substitué est choisi, c'est celui dont le proton part ou c'est le béta ?
Dadoujof
Carabin débutant
 
Messages: 24
Inscription: 27 Juil 2025, 16:35

Re: Règle de Zaitsev

Messagepar Camhydroxyle » 27 Sep 2025, 10:02

En élimination, on arrache toujours un proton sur un carbone β (voisin du carbone porteur du nucléofuge, c'est une numérotation). Comme il y a parfois plusieurs choix, la règle de Zaïtsev dit que c’est le proton dont l’élimination forme la double liaison la plus substituée qui sera majoritaire, car l’alcène obtenu est plus stable.
Donc tu "testes" avec les carbones voisins de celui qui a le nucléofuge,

Le carbone qui porte le groupe partant (Cl, Br, etc.) est l’α-carbone.
Tous les β-carbones adjacents possèdent au moins un hydrogène qu’on peut arracher.
Selon le β choisi, la double liaison se formera dans une position différente.

Cette reformulation t'aide ? Si non je peux encore ré expliquer autrement :)
Camhydroxyle
Tut' Chimie
Tut' Chimie
 
Messages: 160
Inscription: 19 Aoû 2024, 21:35

Re: Règle de Zaitsev

Messagepar Dadoujof » 27 Sep 2025, 21:12

Erf..... x)

En réalité, ce que je n'ai pas compris, c'est la définition du "plus substitué" , on parle de quoi par rapport à quoi ?
Dadoujof
Carabin débutant
 
Messages: 24
Inscription: 27 Juil 2025, 16:35

Re: Règle de Zaitsev

Messagepar Camhydroxyle » 28 Sep 2025, 11:21

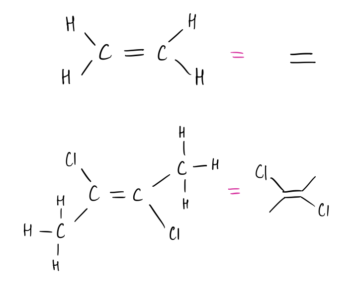
Okay ! Pas de souci je comprends !! Le plus substitué ça veut dire qu'il a le + de substituants = d'atomes

Imagine une double liaison H2C=CH2 (ici les substituants sont les 2 hydrogène de gauche et ceux de droites) : c'est l'alcène (double liaison de carbone) le moins substitué, c'est le minimum possible

Imagine une autre double liaison H3CClC=CClCH3 là les carbones de la double liaison sont reliés à des substituants + conséquents !

Je te mets ci-joint des schémas pour mieux visualiser, avec des détails à gauche du signe égal et à droite non.

Tu arrives mieux à comprendre ?
Fichiers joints
Capture d’écran 2025-09-28 à 11.23.21.png
Capture d’écran 2025-09-28 à 11.23.21.png (42.12 Kio) Vu 60 fois
Camhydroxyle
Tut' Chimie
Tut' Chimie
 
Messages: 160
Inscription: 19 Aoû 2024, 21:35

Re: Règle de Zaitsev

Messagepar Dadoujof » 28 Sep 2025, 22:24

Top !
Merci tout est bon :D
Dadoujof
Carabin débutant
 
Messages: 24
Inscription: 27 Juil 2025, 16:35


Retourner vers Substitution nucléophile et élimination



Qui est en ligne

Utilisateurs parcourant ce forum: Aucun utilisateur enregistré et 1 invité