Le Guide pour bien débuter la LAS : Ici

Tutoriel Forum : Ici

Planning des Séances Tutorat et EB : ICI !
Errata : Séances Tutorat et EB, Annatuts, Ronéos
Centres de Téléchargement : ICI !
Réponses des Profs : ICI !
Annales : Achat, Corrections Officieuses
Annatuts : 2025-2026, Sommaire
MCC 25/26 : ICI
Candidature MMOPK : ICI
Terminale Santé : ICI

RÉSULTATS EB 5 : Ici

Newsletter : ICI


Ronéo 4 page 16


Ronéo 4 page 16

Messagepar Gauxmar » 11 Nov 2013, 12:30

Salut, je squatte encore le forum de physique ! :cute:

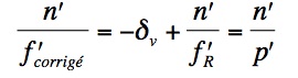
En bas de la page 16 de la Ronéo 4, il est écrit: "on obtient n'/f 'CORRIGE est égale à la longueur de l'œil".
Bon je crois que ce n'est pas tout le rapport qui est égal à la longueur de l'œil, parce que ce rapport est en m-1 ce qui est l'inverse d'une longueur.. Mais du coup c'est quoi qui est égal à la longueur de l'œil, c'est f 'CORRIGE ? Ca voudrait dire que l'image et le foyer image seraient situés au même point ?

Merci d'avance : :D :
Image

Tut'Histo 2015/2016
VP Com' - Carab'in Delirium - BDE médecine 2016/2017
Avatar de l’utilisateur
Gauxmar
VP Communication
 
Messages: 706
Inscription: 17 Juil 2013, 08:24

Re: Ronéo 4 page 16

Messagepar ElisaD » 13 Nov 2013, 22:28

Hello :)

Alors la relation est :
optique.jpg
optique.jpg (14.05 Kio) Vu 100 fois


Donc on peut simplifier par n' des deux coté de l'égalité et faire l'inverse.
On a donc f 'CORRIGE qui est égal a p' (c'est a dire la longueur de l'oeil).

Et oui cela veut bien dire que foyer image et image sont confondus^^
Pourquoi ? pour un oeil emmétrope ou un défaut visuel corrigé, le punctum remotum est a l'infini. Donc comme dans les lentilles minces, pour un rayon venant de l'infini, après passage a travers la lentille convergente, il passe par le foyer image.
Donc dans l'oeil le rayon va passer par F'. Or pour "voir" (transmission nerveuse etc...), il faut que l'image se forme sur la rétine. Donc on doit bien avoir F' et p' qui coïncident :)

C'est tout bon ?
Tu ne veux pas qu'un petit chat finisse dans une boite a moitié vivant et a moitié mort ?
Alors pense a passer ton sujet en résolu quand la réponse te convient !


Image
Avatar de l’utilisateur
ElisaD
Tut' Biophy/Physique
Tut' Biophy/Physique
 
Messages: 277
Inscription: 14 Aoû 2012, 16:08

Re: Ronéo 4 page 16

Messagepar Kardajian » 17 Nov 2013, 23:29

Salut ! :)

Comme il n'y a pas de réponse, je passe en résolu

Bonne soirée !
:yin-yang: Un hamster dans l'espace... serait-ce un hamsteroïde ? :yin-yang:
1 spermatozoïde contient environ 37,5 Mo d'ADN, donc une éjaculation normale transfère environ 1 587 Go de données en 3 sec


Image
Avatar de l’utilisateur
Kardajian
Administrateur
Administrateur
 
Messages: 3002
Inscription: 29 Aoû 2012, 08:44

Re: Ronéo 4 page 16

Messagepar Gauxmar » 19 Nov 2013, 22:41

Désolée de répondre que maintenant, j'avais des problèmes avec le forum jusqu'à aujourd'hui :oops:

Merci beaucoup pour ta réponse Elisa, c'est super clair, tout parfait!

Bonne soirée à vous 2 :)
Image

Tut'Histo 2015/2016
VP Com' - Carab'in Delirium - BDE médecine 2016/2017
Avatar de l’utilisateur
Gauxmar
VP Communication
 
Messages: 706
Inscription: 17 Juil 2013, 08:24


Retourner vers Physique S1



Qui est en ligne

Utilisateurs parcourant ce forum: Aucun utilisateur enregistré et 0 invités