Le Guide pour bien débuter la LAS : Ici

Tutoriel Forum : Ici

Planning des Séances Tutorat et EB : ICI !
Errata : Séances Tutorat et EB, Annatuts, Ronéos
Centres de Téléchargement : ICI !
Réponses des Profs : ICI !
Annales : Achat, Corrections Officieuses
Annatuts : 2025-2026, Sommaire
MCC 25/26 : ICI
Candidature MMOPK : ICI
Terminale Santé : ICI

CORRECTION ST 4 : Ici

Newsletter : ICI


Equation force de Coulomb


Equation force de Coulomb

Messagepar Dynam' » 27 Sep 2013, 17:27

Salut :) !

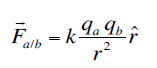
Alors question inutile, mais dans l'équation de la force de Coulomb, à quoi correspond le r avec un chapeau :alien: ?

Force de Coulomb.png
Force de Coulomb.png (2.31 Kio) Vu 117 fois
Dernière édition par Dynam' le 29 Sep 2013, 08:56, édité 1 fois.
Avatar de l’utilisateur
Dynam'
Carabin Geek
 
Messages: 644
Inscription: 14 Jan 2013, 16:10

Re: Equation force de Coulomb

Messagepar Kardajian » 27 Sep 2013, 17:30

Salut ! :D

LE r avec un chapeau correspond au vecteur unitaire, il est là juste pour que la formule soit mathématiquement correct. (un vecteur = un vecteur)

En application il est pas très utile puisqu'il vaut 1 (vu que c'est le vecteur unitaire), donc il n'intervient pas dans les calculs

C'est good ? :)
:yin-yang: Un hamster dans l'espace... serait-ce un hamsteroïde ? :yin-yang:
1 spermatozoïde contient environ 37,5 Mo d'ADN, donc une éjaculation normale transfère environ 1 587 Go de données en 3 sec


Image
Avatar de l’utilisateur
Kardajian
Administrateur
Administrateur
 
Messages: 3002
Inscription: 29 Aoû 2012, 08:44

Re: Equation force de Coulomb

Messagepar Dynam' » 28 Sep 2013, 08:24

Nikel merci !
Avatar de l’utilisateur
Dynam'
Carabin Geek
 
Messages: 644
Inscription: 14 Jan 2013, 16:10


Retourner vers Physique S1



Qui est en ligne

Utilisateurs parcourant ce forum: Aucun utilisateur enregistré et 0 invités