
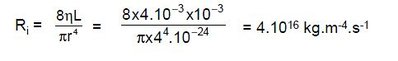
En faisant le calcul, je tombe sur R= 1/6 x 10^18
Si vous pouvez m'expliquer comme le prof arrive à ce résultat

Merci !!




et confirmation tutoresque de ta réponse!
Retourner vers Biophysique Cardio-Vasculaire (Franken)
Utilisateurs parcourant ce forum: Aucun utilisateur enregistré et 1 invité