Le Guide pour bien débuter la LAS : Ici

Tutoriel Forum : Ici

Planning des Séances Tutorat et EB : ICI !
Errata : Séances Tutorat et EB, Annatuts, Ronéos
Centres de Téléchargement : ICI !
Réponses des Profs : ICI !
Annales : Achat, Corrections Officieuses
Annatuts : 2025-2026, Sommaire
MCC 25/26 : ICI
Candidature MMOPK : ICI
Terminale Santé : ICI

INFORMATIONS ST 4 : Ici

Newsletter : ICI


Annathemes qcm 25


Annathemes qcm 25

Messagepar Clara Meulien » 14 Avr 2014, 20:14

image.jpg


Bonjour, je n'arrive pas à résoudre ce qcm, est-ce qu'on pourrait m'expliquer? Merci d'avance :)
Avatar de l’utilisateur
Clara Meulien
Carabin No Life
 
Messages: 762
Inscription: 27 Aoû 2013, 15:50

Re: Annathemes qcm 25

Messagepar Smile » 15 Avr 2014, 20:52

Salut!!

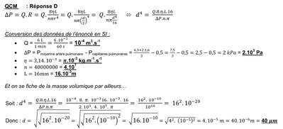
Ce QCM est assez difficile...
QCM CM12.png


Voilà :)
Bonne soirée :bye:

!!!ATTENTION SPOILER!!!
Ce QCM est issu du concours de l'an dernier... :roll:
:crying: Tuteurs UE3b 2013-2014 - Retraité :crying:

:dance: Chef Tut' 2014-2015 :dance:

N'oubliez pas de passer votre post en résolu :)


Image
Avatar de l’utilisateur
Smile
Ex-Chef TuT'
 
Messages: 651
Inscription: 13 Oct 2011, 15:49
Localisation: pas très loin de son corps...

Re: Annathemes qcm 25

Messagepar Clara Meulien » 15 Avr 2014, 21:03

Glps... C'est chaud
Merci :)
Avatar de l’utilisateur
Clara Meulien
Carabin No Life
 
Messages: 762
Inscription: 27 Aoû 2013, 15:50


Retourner vers Biophysique Cardio-Vasculaire (Franken)



Qui est en ligne

Utilisateurs parcourant ce forum: Aucun utilisateur enregistré et 0 invités