Le Guide pour bien débuter la LAS : Ici

Tutoriel Forum : Ici

Planning des Séances Tutorat et EB : ICI !
Errata : Séances Tutorat et EB, Annatuts, Ronéos
Centres de Téléchargement : ICI !
Réponses des Profs : ICI !
Annales : Achat, Corrections Officieuses
Annatuts : 2025-2026, Sommaire
MCC 25/26 : ICI
Candidature MMOPK : ICI
Terminale Santé : ICI

CORRECTION ST 4 : Ici

Newsletter : ICI


dm qcm 1


dm qcm 1

Messagepar Cyrmbt » 07 Oct 2014, 13:01

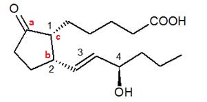
Bonjour je ne comprends pas pourquoi C 1 est de type R
Pouvez vous m'aidez
Avatar de l’utilisateur
Cyrmbt
Apprenti Carabin
 
Messages: 130
Inscription: 20 Aoû 2014, 07:46

Re: dm qcm 1

Messagepar Orgahler » 07 Oct 2014, 17:43

Salut ! :)

En fonction des règles CIP tu obtiens ceci pour les ordres de priorités :
QCM 1 A.jpg
QCM 1 A.jpg (9.82 Kio) Vu 298 fois


Le d c'est le H qui est en avant (non représenté car on est en formule topologique). Quand tu tournes dans le sens a - b - c tu tournes dans le sens inverse des aiguilles d'une montre, mais comme le H est en avant tu inverses : il est bien R !

Tu comprends ? :)
Tutrice Chimie Orga 2014 - 2015

Image

" La chance n'existe pas. Ce que vous appelez la chance n'est qu'une sérieuse attention aux détails. "
Winston Churchill
Orgahler
Carabin vétéran
 
Messages: 313
Inscription: 14 Juil 2014, 13:49

Re: dm qcm 1

Messagepar Cyrmbt » 08 Oct 2014, 07:10

Oui merci beaucoup !
En fait le H qui n'est pas représenter il est dans la position restante ?

Par exemple si j'ai deux élément dans le plan et un en avant le H sera derrière ?

Merci beaucoup en tout cas :)
Avatar de l’utilisateur
Cyrmbt
Apprenti Carabin
 
Messages: 130
Inscription: 20 Aoû 2014, 07:46

Re: dm qcm 1

Messagepar Orgahler » 08 Oct 2014, 19:42

Oui c'est tout à fait ca ! :D

Je t'en prie, bonne soirée ! :bye:
Tutrice Chimie Orga 2014 - 2015

Image

" La chance n'existe pas. Ce que vous appelez la chance n'est qu'une sérieuse attention aux détails. "
Winston Churchill
Orgahler
Carabin vétéran
 
Messages: 313
Inscription: 14 Juil 2014, 13:49


Retourner vers Chimie Organique



Qui est en ligne

Utilisateurs parcourant ce forum: Aucun utilisateur enregistré et 2 invités