Le Guide pour bien débuter la LAS : Ici

Tutoriel Forum : Ici

Planning des Séances Tutorat et EB : ICI !
Errata : Séances Tutorat et EB, Annatuts, Ronéos
Centres de Téléchargement : ICI !
Réponses des Profs : ICI !
Annales : Achat, Corrections Officieuses
Annatuts : 2025-2026, Sommaire
MCC 25/26 : ICI
Candidature MMOPK : ICI
Terminale Santé : ICI

CORRECTION ST 4 : Ici

Newsletter : ICI


QCM 3 et QCM 5 tutorat


QCM 3 et QCM 5 tutorat

Messagepar Lulla » 04 Nov 2014, 22:05

Bonsoir ! Pour la molécule 5 du qcm 3, je ne comprend pas pourquoi le groupement nitro a un effet mésomère M- sur le carbocation… Je n'arrive pas à repérer la mésomérie, elle se fait car le N a gardé 1 DNL c'est bien ça ? Merci d'avance

Pour le QCM 5, pour la configuration du C2, je ne comprend pas pourquoi c'est R et pas S (vous avez bien fait la motif à l'oral !), parce que dans l'ordre des priorités on va vers la droite donc ça donne R, sauf que le d est à l'avant, donc ça donne S on devrait inverser non ..? Merci !
Image
Avatar de l’utilisateur
Lulla
Carabin vétéran
 
Messages: 272
Inscription: 06 Sep 2013, 11:38

Re: QCM 3 et QCM 5 tutorat

Messagepar Lééaa » 04 Nov 2014, 22:40

Lulla a écrit:Bonsoir ! Pour la molécule 5 du qcm 3, je ne comprend pas pourquoi le groupement nitro a un effet mésomère M- sur le carbocation… Je n'arrive pas à repérer la mésomérie, elle se fait car le N a gardé 1 DNL c'est bien ça ? Merci d'avance

Pour le QCM 5, pour la configuration du C2, je ne comprend pas pourquoi c'est R et pas S (vous avez bien fait la motif à l'oral !), parce que dans l'ordre des priorités on va vers la droite donc ça donne R, sauf que le d est à l'avant, donc ça donne S on devrait inverser non ..? Merci !


Idem, pour le QCM5, Carbone 2, moi j'ai trouvé S parce qu'on tourné dans les aiguilles d'une montre donc R mais comme d était en avant on inverse donc S non?
Avatar de l’utilisateur
Lééaa
Carabin Geek
 
Messages: 558
Inscription: 13 Aoû 2013, 10:36

Re: QCM 3 et QCM 5 tutorat

Messagepar Azur » 04 Nov 2014, 22:42

+1 j ai trouve S aussi pour le carbone 2 !!
Azur
Apprenti Carabin
 
Messages: 212
Inscription: 02 Sep 2014, 22:11

Re: QCM 3 et QCM 5 tutorat

Messagepar Scharff » 04 Nov 2014, 23:16

+1 la réponse est C
" Si tu as un rêve, tu dois le protéger. Tu verras que les gens incapables d'y arriver feront tout pour te décourager. Si tu veux vraiment quelque chose, t'as qu'à te battre, point-barre. " [Will Smith]
Scharff
Apprenti Carabin
 
Messages: 102
Inscription: 15 Aoû 2014, 13:47

Re: QCM 3 et QCM 5 tutorat

Messagepar Orgahler » 05 Nov 2014, 06:59

Bonjour à tous ! :)

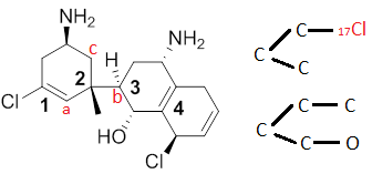
:!: Attention attention aux numéros atomiques !

QCM5.png
QCM5.png (5.87 Kio) Vu 587 fois


C'est le carbone de gauche qui est prioritaire, donc la réponse est bien la B !

C'est bon pour vous ? :)
Tutrice Chimie Orga 2014 - 2015

Image

" La chance n'existe pas. Ce que vous appelez la chance n'est qu'une sérieuse attention aux détails. "
Winston Churchill
Orgahler
Carabin vétéran
 
Messages: 313
Inscription: 14 Juil 2014, 13:49

Re: QCM 3 et QCM 5 tutorat

Messagepar Lulla » 05 Nov 2014, 08:54

Ben en fait c'est pas ce que vous avez marqué sur la correction… Il y a écrit que le carbone a c'est celui de droite (le 3)
Moi aussi au départ je pensais que c'était celui de gauche vu qu'il y a un Cl
Image
Avatar de l’utilisateur
Lulla
Carabin vétéran
 
Messages: 272
Inscription: 06 Sep 2013, 11:38

Re: QCM 3 et QCM 5 tutorat

Messagepar Orgahler » 05 Nov 2014, 08:55

La molécule a été modifiée donc la correction détaillée aussi ;)
:arrow: viewtopic.php?f=575&t=55637&p=323512#p323512
Tutrice Chimie Orga 2014 - 2015

Image

" La chance n'existe pas. Ce que vous appelez la chance n'est qu'une sérieuse attention aux détails. "
Winston Churchill
Orgahler
Carabin vétéran
 
Messages: 313
Inscription: 14 Juil 2014, 13:49

Re: QCM 3 et QCM 5 tutorat

Messagepar Lulla » 05 Nov 2014, 09:07

Ah je n'avais pas vu la modification de correction ! C'est plus clair du coup merci ! :)
Image
Avatar de l’utilisateur
Lulla
Carabin vétéran
 
Messages: 272
Inscription: 06 Sep 2013, 11:38

Re: QCM 3 et QCM 5 tutorat

Messagepar Azur » 05 Nov 2014, 12:22

En fait je me suis trompée j ai trouvé R au carbone 2 et pas S donc c est pr ça que j avais mis la C du coup et je comprends pas pk c est la B ..
Il y avait une modification a faire sur la molécule ?? Pck a SN on nous a pas dit de faire de modification donc du coup je comprends pas trop la ... :roll:
Azur
Apprenti Carabin
 
Messages: 212
Inscription: 02 Sep 2014, 22:11

Re: QCM 3 et QCM 5 tutorat

Messagepar Orgahler » 05 Nov 2014, 12:43

:arrow: viewtopic.php?f=575&t=59856

On prendra en compte dans la correction que vous n'avez pas eu les modifications à SN ne t'iqnuiète pas :)
Tutrice Chimie Orga 2014 - 2015

Image

" La chance n'existe pas. Ce que vous appelez la chance n'est qu'une sérieuse attention aux détails. "
Winston Churchill
Orgahler
Carabin vétéran
 
Messages: 313
Inscription: 14 Juil 2014, 13:49

Re: QCM 3 et QCM 5 tutorat

Messagepar Lulla » 05 Nov 2014, 19:05

Salut je relance pour ma 1ère question si possible ^^
Image
Avatar de l’utilisateur
Lulla
Carabin vétéran
 
Messages: 272
Inscription: 06 Sep 2013, 11:38

Re: QCM 3 et QCM 5 tutorat

Messagepar baddiebey » 05 Nov 2014, 19:18

Coucou la molécule qu'on a eu au petit valrose n'est PAS DU TOUT celle de la correction es ce normal?
:nailbiting:
Avatar de l’utilisateur
baddiebey
Carabin débutant
 
Messages: 37
Inscription: 06 Oct 2013, 19:25

Re: QCM 3 et QCM 5 tutorat

Messagepar Spower » 05 Nov 2014, 21:27

Bonsoir :D

Bonsoir ! Pour la molécule 5 du qcm 3, je ne comprend pas pourquoi le groupement nitro a un effet mésomère M- sur le carbocation… Je n'arrive pas à repérer la mésomérie, elle se fait car le N a gardé 1 DNL c'est bien ça ? Merci d'avance

Je viens de détailler rapidement la correction du QCM 3 ! Dis moi si c'est toujours pas bon ;)
:arrow: http://www.carabinsnicois.fr/phpbb/viewtopic.php?f=575&t=55637

On a bien un effet mésomère, c'est un groupement nitro, donc --> M-

baddiebey a écrit:Coucou la molécule qu'on a eu au petit valrose n'est PAS DU TOUT celle de la correction es ce normal?
:nailbiting:

Normalement si ! La molécule était dessinée au tableau, c'est bien celle qui est dans les erratas :P

N'hésitez pas si vous avez encore des questions :bye:
Image
Avatar de l’utilisateur
Spower
Ex-Chef TuT'
 
Messages: 319
Inscription: 02 Sep 2012, 12:50

Re: QCM 3 et QCM 5 tutorat

Messagepar Lulla » 06 Nov 2014, 16:14

C'est bon pour moi merci !
Image
Avatar de l’utilisateur
Lulla
Carabin vétéran
 
Messages: 272
Inscription: 06 Sep 2013, 11:38


Retourner vers Chimie Organique



Qui est en ligne

Utilisateurs parcourant ce forum: Aucun utilisateur enregistré et 0 invités