J'ai un peu de mal à voir la différence entre << Substitué >> et << Conjugué >>.. Voir je la vois pas du tout lol.. Quelqu'un de volontaire pour m'aiclairer un peu ??
Merci !!!




Orgahler a écrit:Bonjour !
Substitué : tu regardes à quoi est lié ton atome
Conjugué : tu regardes si une mésomérie est possible
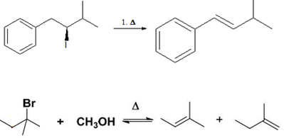
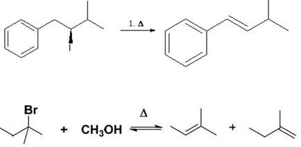
Petits exemples d'élimnation #règle de Saytsev
Dans la réaction du haut, on voit que si on fait en sorte de placer notre double liaison à gauche, on pourra avoir une mésomérie grâce au cycle benzène
Dans la réaction du bas, on voit les deux alcènes que l'on pourrait former. En réalité c'est celui de gauche qui sera majoritaire parce qu'il est plus substitué que celui de droite = il est lié à plus de choses
J'espère que c'est plus clair pour toi !

Un système conjugué est un système chimique constitué d'atomes liés par des liaisons covalentes avec au moins une liaison π délocalisée. Cette délocalisation permet d'envisager plusieurs représentations de Lewis (appelées formes mésomères, résonantes ou canoniques) mettant ainsi en évidence les propriétés chimiques de la molécule.

Retourner vers Chimie Organique
Utilisateurs parcourant ce forum: Aucun utilisateur enregistré et 1 invité