Le Guide pour bien débuter la LAS : Ici

Tutoriel Forum : Ici

Planning des Séances Tutorat et EB : ICI !
Errata : Séances Tutorat et EB, Annatuts, Ronéos
Centres de Téléchargement : ICI !
Réponses des Profs : ICI !
Annales : Achat, Corrections Officieuses
Annatuts : 2025-2026, Sommaire
MCC 25/26 : ICI
Candidature MMOPK : ICI
Terminale Santé : ICI

CORRECTION ST 4 : Ici

Newsletter : ICI


3 questions QCM physique quantique


3 questions QCM physique quantique

Messagepar Alan » 19 Aoû 2014, 09:45

J'ai trois blocages sur des qcm de physique quantique :
:arrow: QCM 3 de 2012/2013 item D " certaines raies d'émission visibles de l'atome H correspondent à des fréquences égales à 13,6 (1/4 - 1/m2) / h, où m=3,4,5 et h est la constante de Planck exprimée en eV.s "
L'item est compté juste et donc je comprends pas que la partie de la phrase avec m puisse être juste. m doit être plus petit que n non ? or si il est égal à 4 ou 5 ce n'est plus le cas
Y a un truc que je pige pas :(

:arrow: je comprends pas comment calculer une longueur d'onde de Broglie avec seulement la différence de potentiel donnée dans l'énoncé !

:arrow: QCm 18 de 2009/2010 je suis pas sur du caclul que l'on doit faire. Voici le qcm
Une photocathode de césium est éclairée par un faisceau de photons de longueur d'onde 578nm. La contre tension maximale est de 0,21 V. Le travail d'extraction du métal vaut ...
Doit-on faire hc/ lambda - (h. contre tension) ?

Merci de votre réponse :D
Dernière édition par Alan le 02 Sep 2014, 16:36, édité 1 fois.
Image
Avatar de l’utilisateur
Alan
Carabin Geek
 
Messages: 546
Inscription: 01 Juil 2013, 23:43

Re: 3 questions QCM physique quantique

Messagepar Sebaler » 19 Aoû 2014, 12:52

1) Alors la Loi de Rydberg nous donne :

Loi de Rydberg.png


Et effectivement n est un entier plus grand que m. Sauf que dans l'item c'est inversé, la lettre m correspond à la lettre n.
Du coup on est bon.

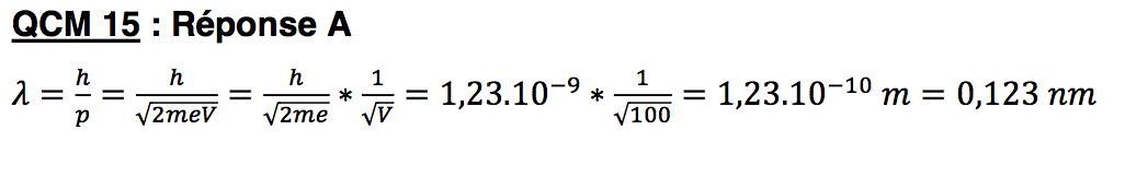
2) On va prendre un QCM en exemple :
Sans titre.png


correction :
Sans titre 2.png


Je te mets le lien vers cette super fiche tutoresque, il y a plus d'explications :
Fiche%20physique%20quantique%20-%202013-2014%20NB-4.pdf
tu trouveras ton bonheur p.7
(1.84 Mio) Téléchargé 31 fois


3) Le but est d'utiliser la formule Ec = hν -W

On a Ec = -e V0
avec V0 la contre tension maximale

et ν = c/λ

En réarrangeant tout ça on obtient :
W = (hc/λ) + e.V0

J'ai pas encore revue la quantique, donc si je me suis mal exprimé ou si tu penses qu'il y a une erreur n'hésite pas!
Et courage pour la physique ;)
Tuteur UE3a 2013/2014



Image
Avatar de l’utilisateur
Sebaler
Tut' Biophy/Physique
Tut' Biophy/Physique
 
Messages: 311
Inscription: 01 Aoû 2012, 09:56

Re: 3 questions QCM physique quantique

Messagepar Alan » 23 Aoû 2014, 14:16

Merci pour ta réponse, juste dans le QCM 1 comment on peut savoir que n et m sont inversés ? 0_o
Image
Avatar de l’utilisateur
Alan
Carabin Geek
 
Messages: 546
Inscription: 01 Juil 2013, 23:43

Re: 3 questions QCM physique quantique

Messagepar Sebaler » 23 Aoû 2014, 15:05

Tu le vois par rapport à l'orde dans ta formule. dans le cours on a -1/n2 alors que dans le qcm on a -1/m2.
Tuteur UE3a 2013/2014



Image
Avatar de l’utilisateur
Sebaler
Tut' Biophy/Physique
Tut' Biophy/Physique
 
Messages: 311
Inscription: 01 Aoû 2012, 09:56

Re: 3 questions QCM physique quantique

Messagepar Zlatan » 23 Aoû 2014, 19:16

Excuse moi Sebaler, ta démonstration me semble fausse en effet : "J'ai pas encore revue la quantique"... En tout cas tu n'as pas encore revu la grammaire non plus. Je trouvais que tu t'étais mal exprimé alors je n'ai pas hésité. Cordialement. :)
Opehé
Avatar de l’utilisateur
Zlatan
Carabin newbie
 
Messages: 13
Inscription: 04 Nov 2012, 12:17

Re: 3 questions QCM physique quantique

Messagepar Sebaler » 24 Aoû 2014, 01:54

je me suis fais zlatané par une machine!
#findesoiré #colastesunPD #yopyop #colasenculedeschevres
Tuteur UE3a 2013/2014



Image
Avatar de l’utilisateur
Sebaler
Tut' Biophy/Physique
Tut' Biophy/Physique
 
Messages: 311
Inscription: 01 Aoû 2012, 09:56


Retourner vers Physique



Qui est en ligne

Utilisateurs parcourant ce forum: Aucun utilisateur enregistré et 0 invités