Je bloque sur ce QCM:
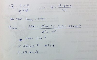
"Quel est (en ml.s-1) le débit maximum d'un perfuseur qui garantit que l'écoulement soit laminaire sachant que les caractéristiques du fluide sont ρ (masse volumique)= 103 kg.m-3, η(viscosité)= 4x10-3 kg.m-1.s-1, que les tubulures sont de sections circulaires et ont un diamètre de 0,2 mm et que la valeur maximale du nombre de Reynolds pour un écoulement laminaire est 2400 ?
A : 0,375
B : 1,5
C : 6
D : 94,2
E : 125
La reponse est la B, jai utilisé la formule : Re= (4pQ)/(n. pi. d) et je me retrouve avec un débit hors sujet ..
Si quelqu'un peut m'expliquer le calcule

Merci d'avance


)