
Il y a un petit détail dans ce chapitre avec l'énergie, que je voulais clarifier dans mon esprit
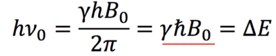
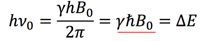
Dans le poly on a 2 formules différentes pour exprimer pratiquement la même chose
Dans cette formule on divise B0 par 2 :
Dans celle ci on ne divise pas par 2 :
Je voulais simplement avoir une confirmation, on divise par 2 pour la première car B0 est "divisé" entre les 2 niveaux d'énergie ?
Par contre pour delta E c'est l'ensemble des niveaux d'énergie, donc l'ensemble de B0 ?
Merci d'avance Bonne soirée



