Le Guide pour bien débuter la LAS : Ici

Tutoriel Forum : Ici

Planning des Séances Tutorat et EB : ICI !
Errata : Séances Tutorat et EB, Annatuts, Ronéos
Centres de Téléchargement : ICI !
Réponses des Profs : ICI !
Annales : Achat, Corrections Officieuses
Annatuts : 2025-2026, Sommaire
MCC 25/26 : ICI
Candidature MMOPK : ICI
Terminale Santé : ICI

CORRECTION ST 4 : Ici

Newsletter : ICI


force électrostatique roneo 5


force électrostatique roneo 5

Messagepar laura_viglino » 11 Nov 2015, 20:00

re :)

je ne comprends pas pourquoi l'excès de neutrons (dans les noyaux lourds) diminuent cette force en AUGMENTANT la distance ...

merci :glasses-nerdy:
Dernière édition par laura_viglino le 12 Nov 2015, 12:34, édité 1 fois.
laura_viglino
Carabin addicted
 
Messages: 1548
Inscription: 04 Aoû 2015, 11:22

Re: force électrostatique roneo 5

Messagepar zalizee » 12 Nov 2015, 08:02

Salut ! :)

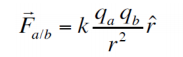
Alors il faut tout simplement que tu te rappelles de la formule de la force électrostatique/force de Coulombs, c'est celle-ci :

Force électrostatique, force de coulombs.PNG
Force électrostatique, force de coulombs.PNG (4.73 Kio) Vu 143 fois


Et du coup là tu vois que r, la distance est au dénominateur elle est donc inversement proportionnelle à la force.
Quand le distance augmente, la force diminue,

Ca te va ? :)
Tut UE 3a Physique/Biophysique
<3 <3 <3 <3 <3 <3 <3 <3 <3 <3 <3


Ronéiste Pharmaco 2015-2016

Image
Avatar de l’utilisateur
zalizee
CM Parrainage
 
Messages: 828
Inscription: 23 Juil 2014, 16:15

Re: force électrostatique roneo 5

Messagepar laura_viglino » 12 Nov 2015, 12:34

ah ok !! oui nickel merci :)
laura_viglino
Carabin addicted
 
Messages: 1548
Inscription: 04 Aoû 2015, 11:22


Retourner vers Biophysique



Qui est en ligne

Utilisateurs parcourant ce forum: Aucun utilisateur enregistré et 1 invité