un item me pose problème: "le nbre dans chacun des gpes doit être d'autant plus grand que l'on attend une grande variabilité des réponses au traitement dans chaque gpe " je ne comprends pas pourquoi c'est vrai, ce n'est pas plutôt le contraire ?
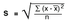
p.s: et une autre pour la route: Comment calcule t-on un écart-type ?
Merci




:

