Je m'excuse d'avance pour les formules, j'ai essayé mais j'y arrive pas...
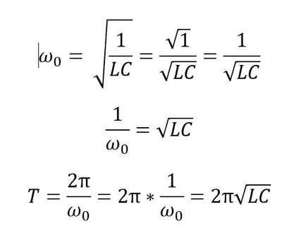
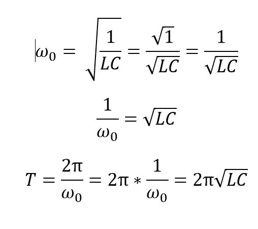
Je ne comprends pas pourquoi on trouve une période de 2pi / racine(LC)
Perso -> LC d2V / dt2 = -V
-> LC * -w2V = -V
-> LC * w2 = 1
-> LC = 1/w2
-> racine(LC) = 1/w
-> racine(LC) * 2pi = 2pi / w = T
Quelqu'un aurai une ptite explication please? (Encore désolé pour les formules dégueulasses..)



Notre co-tut est prise, merci de ne pas la draguer 

