Le Guide pour bien débuter la LAS : Ici

Tutoriel Forum : Ici

Planning des Séances Tutorat et EB : ICI !
Errata : Séances Tutorat et EB, Annatuts, Ronéos
Centres de Téléchargement : ICI !
Réponses des Profs : ICI !
Annales : Achat, Corrections Officieuses
Annatuts : 2025-2026, Sommaire
MCC 25/26 : ICI
Candidature MMOPK : ICI
Terminale Santé : ICI

CORRECTION ST 4 : Ici

Newsletter : ICI


Calcul vitesse propagation onde


Calcul vitesse propagation onde

Messagepar A!ex » 24 Sep 2015, 14:45

Bonjour :D

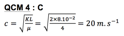
Dans une application numérique de la diapo du prof, on doit calculer la vitesse de propagation de l'onde : :cute:

Capture d’écran 2015-09-24 à 15.42.41.png


J'arrive à faire le calcul jusqu'à la racine carrée, je ne me souviens plus comment on fait pour faire les racines carrées à la main ? :mrgreen:

Il me semble que vous nous donniez les valeurs des racines dans les énoncés des QCMs non ? :in-love:

EDIT : Petit QCM du DM de l'an dernier :D
Capture d’écran 2015-09-24 à 17.49.17.png


Capture d’écran 2015-09-24 à 17.49.26.png


Ma question peut paraitre bête, mais je ne me souviens plus comment on trouvait u (mu) sans qu'il soit déjà donné dans la consigne ? #Amnésie :mrgreen:

Merci d'avance Bonne aprem :wink2:
Dernière édition par A!ex le 30 Sep 2015, 20:03, édité 1 fois.
"Il faut toujours viser la lune, car même en cas d'échec, on atterrit dans les étoiles" A!ex Golden Dentist #UE 13
Avatar de l’utilisateur
A!ex
Super Carabin
 
Messages: 4386
Inscription: 25 Juil 2014, 14:10

Re: Calcul vitesse propagation onde

Messagepar pipoudii » 24 Sep 2015, 17:40

Hola amigo :D

Alors pour les racines, je te conseille de trouver des multiples de ton chiffre dont tu connais la racine :)

Exemple :

√24 = √8x3 = √4×2×3 = 2√6 bon au final tu n'arrives pas à un chiffre mais je pense que le prof fera en sorte qu'on arrive à un chiffre :dance:

Ensuite :

mu = masse de ta corde / longueur de ta corde

Bonne soirée :bye:
"On va faire un petit make up pour clarifier les choses" Professeur Philip SDR 29/10/15




Image
Avatar de l’utilisateur
pipoudii
Carabin addicted
 
Messages: 1677
Inscription: 14 Oct 2014, 21:08

Re: Calcul vitesse propagation onde

Messagepar A!ex » 24 Sep 2015, 18:19

Salut :D

Oui je pense que le prof nous rapprochera d'une valeur qu'on pourra distinguer dans les items :angel:

Ah super merci c'est exactement ça :desire:

Bonne soirée ;)

PS : J'attends un tut' au cas où si il a une astuce pour les racines, je suis preneur (par exemple pour faire racine (4*10^-2)) :in-love:
"Il faut toujours viser la lune, car même en cas d'échec, on atterrit dans les étoiles" A!ex Golden Dentist #UE 13
Avatar de l’utilisateur
A!ex
Super Carabin
 
Messages: 4386
Inscription: 25 Juil 2014, 14:10

Re: Calcul vitesse propagation onde

Messagepar pipoudii » 24 Sep 2015, 21:33

√4×10^-2= √4/√10^2= 2/√100 = 2/10 = 0,2

Bonne soirée :blowkiss:
"On va faire un petit make up pour clarifier les choses" Professeur Philip SDR 29/10/15




Image
Avatar de l’utilisateur
pipoudii
Carabin addicted
 
Messages: 1677
Inscription: 14 Oct 2014, 21:08

Re: Calcul vitesse propagation onde

Messagepar thedarmani » 25 Sep 2015, 06:38

Hello!

Pour le calcul de la racine carré, on est obligé de passer par des simplifications de racine?
Car pour le calcul de 4*10^-2 a l'air e assez évident, non? ( sans passer par de simplifications)

Bonne journée ;)
Avatar de l’utilisateur
thedarmani
Apprenti Carabin
 
Messages: 137
Inscription: 06 Juil 2015, 14:15

Re: Calcul vitesse propagation onde

Messagepar zalizee » 30 Sep 2015, 18:58

Salut !

Alors te pose pas trop de questions, quand on met pas la solution de la racine dans les données c'est que c'est facile à calculer
Ca sera du type racine de 4 ou racine de 25, donc très simples :)

Pour la réponse de ta racine pipoudii t'as donné la meilleure méthode :)

Et effectiment mu (masse linéique) = m/l, c'est dans le nom en fait ;)

Bon courage :)
Tut UE 3a Physique/Biophysique
<3 <3 <3 <3 <3 <3 <3 <3 <3 <3 <3


Ronéiste Pharmaco 2015-2016

Image
Avatar de l’utilisateur
zalizee
CM Parrainage
 
Messages: 828
Inscription: 23 Juil 2014, 16:15

Re: Calcul vitesse propagation onde

Messagepar A!ex » 30 Sep 2015, 20:03

Salut :D

Ah ok super merci pour ces confirmations :worship:

Bonne soirée ;)
"Il faut toujours viser la lune, car même en cas d'échec, on atterrit dans les étoiles" A!ex Golden Dentist #UE 13
Avatar de l’utilisateur
A!ex
Super Carabin
 
Messages: 4386
Inscription: 25 Juil 2014, 14:10


Retourner vers RMN



Qui est en ligne

Utilisateurs parcourant ce forum: Aucun utilisateur enregistré et 0 invités