Le Guide pour bien débuter la LAS : Ici

Tutoriel Forum : Ici

Planning des Séances Tutorat et EB : ICI !
Errata : Séances Tutorat et EB, Annatuts, Ronéos
Centres de Téléchargement : ICI !
Réponses des Profs : ICI !
Annales : Achat, Corrections Officieuses
Annatuts : 2025-2026, Sommaire
MCC 25/26 : ICI
Candidature MMOPK : ICI
Terminale Santé : ICI

RÉSULTATS EB 5 : Ici

Newsletter : ICI


Newman


Newman

Messagepar Bluebird » 30 Aoû 2015, 08:36

Hello :D

En bossant l'orga ( si si j'aime ça :rotfl: ), je me suis posais une question :

par exemple si j'ai une molécule en configuration de Newman avec 2 carbones R,R et que dans un QCM j'ai un item qui dit :

--> Les 2 carbones de la molécule sont S,S

Est-ce que c'est vrai ou faux ? j'aurais dis vrai :desire:

Car en fait quand j'ai une molécule en Newman je l'a met en normal pour faire R & S, du coup pour faire R & S ça dépend d'où on regarde :wink2:

Je sais pas si je suis clair ou pas :messed:

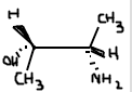
Par exemple avec cette molécule :

si on met les 2 H en " arrière ", les 2C sont de type R
si on met les 2 H en " avant ", les 2C sont de type S
Fichiers joints
Capture d’écran 2015-08-30 à 09.13.16.png
Capture d’écran 2015-08-30 à 09.13.16.png (16.8 Kio) Vu 340 fois
∆ TUTRICE DE BIOCHIMIE 2016-2017 ∆ à la retraite ...

Ronéiste de bioch' 2016-2017 - Team TutTut Bioch'

Passez le post en RESOLU, merci ♥︎
Avatar de l’utilisateur
Bluebird
Super Carabin
 
Messages: 3944
Inscription: 13 Juil 2015, 11:20

Re: Newman

Messagepar Booba » 30 Aoû 2015, 08:40

Pour le C du devant tu as le H derrière tandis que pour le C de derrière tu as le H devant
Ici,tu as les deux qui sont R
Avatar de l’utilisateur
Booba
Carabin confirmé
 
Messages: 70
Inscription: 13 Avr 2015, 21:40

Re: Newman

Messagepar Bluebird » 30 Aoû 2015, 08:47

je ne comprend pas trop pourquoi il y'a un H devant et un H derrrière, pour moi soit les 2 sont derrières soit ils sont devant (enfin pour cette molécule en tout cas :p )
Fichiers joints
Capture d’écran 2015-08-30 à 09.45.42.png
Capture d’écran 2015-08-30 à 09.45.42.png (10.2 Kio) Vu 334 fois
∆ TUTRICE DE BIOCHIMIE 2016-2017 ∆ à la retraite ...

Ronéiste de bioch' 2016-2017 - Team TutTut Bioch'

Passez le post en RESOLU, merci ♥︎
Avatar de l’utilisateur
Bluebird
Super Carabin
 
Messages: 3944
Inscription: 13 Juil 2015, 11:20

Re: Newman

Messagepar Sherlock » 30 Aoû 2015, 14:28

Salut :)

La configuration absolue ne change pas en fonction de l'angle avec lequel tu regardes ta molécule ! Elle dépend de la disposition des atomes par rapport aux autres. Pour passer d'une configuration absolue à une autre, il faut casser une liaison. Sur la configuration de Newman, c'est assez difficile de déterminer la configuration absolue donc je te conseille de convertir en Cram. Ce n'est pas parce que tu passes en revanche de Newman à Cram que tu changes la configuration absolue !!! Il faut que tu classes les quatre substituants en fonction du Z.

Ici, pour ta molécule, les deux carbones sont bien R. :)

20150830_152331.jpg


C'est plus clair? :)

Bonne journée :bye:

Bonne journée :bye:
Tutrice de Chimie organique 2015-2016

<3 Rédactrice à la Passoire 2015-2016 <3

"Je suis seul au milieu de ces voies joyeuses et raisonnables. Tous ces types passent leur temps à s'expliquer, à reconnaître avec bonheur qu'ils sont du même avis. Quelle importance ils attachent, mon Dieu, à penser tous ensemble les mêmes choses."
La nausée, Sartre

Image
Avatar de l’utilisateur
Sherlock
Ex-Chef TuT'
 
Messages: 1335
Inscription: 18 Mai 2014, 09:13
Localisation: 221B Baker Street

Re: Newman

Messagepar Bluebird » 30 Aoû 2015, 14:36

Ah ok :clap: mais juste un dernier petit truc :wink2: :

pourquoi tu place tes 2 atomes d'hydrogène en arrière ? :question:
∆ TUTRICE DE BIOCHIMIE 2016-2017 ∆ à la retraite ...

Ronéiste de bioch' 2016-2017 - Team TutTut Bioch'

Passez le post en RESOLU, merci ♥︎
Avatar de l’utilisateur
Bluebird
Super Carabin
 
Messages: 3944
Inscription: 13 Juil 2015, 11:20

Re: Newman

Messagepar Sherlock » 30 Aoû 2015, 14:49

Je les ai mis dans le même plan, comme dans la représentation de Newman, parce que j'ai dessiné comme si je regardais du côté de l'OH et du NH2. Mais j'aurais pu dessiner comme si je regardais du côté des hydrogènes en les plaçant en avant :) Ca dépend de ce qui est le plus clair pour toi.
Tutrice de Chimie organique 2015-2016

<3 Rédactrice à la Passoire 2015-2016 <3

"Je suis seul au milieu de ces voies joyeuses et raisonnables. Tous ces types passent leur temps à s'expliquer, à reconnaître avec bonheur qu'ils sont du même avis. Quelle importance ils attachent, mon Dieu, à penser tous ensemble les mêmes choses."
La nausée, Sartre

Image
Avatar de l’utilisateur
Sherlock
Ex-Chef TuT'
 
Messages: 1335
Inscription: 18 Mai 2014, 09:13
Localisation: 221B Baker Street

Re: Newman

Messagepar Bluebird » 30 Aoû 2015, 14:59

Vraiment désolé de t'embêter :(
mais justement quand je regarde du côté des H, donc en les plaçant devant je trouve une configuration R et vu que les H sont devant, j'inverse et ça fais S :moneymouth:
∆ TUTRICE DE BIOCHIMIE 2016-2017 ∆ à la retraite ...

Ronéiste de bioch' 2016-2017 - Team TutTut Bioch'

Passez le post en RESOLU, merci ♥︎
Avatar de l’utilisateur
Bluebird
Super Carabin
 
Messages: 3944
Inscription: 13 Juil 2015, 11:20

Re: Newman

Messagepar Sherlock » 30 Aoû 2015, 15:09

Je pense que c'est parce que tu n'as pas mis les groupements prioritaires dans le bon sens :) J'aurais par exemple plutôt mis le OH vers le haut.
Tutrice de Chimie organique 2015-2016

<3 Rédactrice à la Passoire 2015-2016 <3

"Je suis seul au milieu de ces voies joyeuses et raisonnables. Tous ces types passent leur temps à s'expliquer, à reconnaître avec bonheur qu'ils sont du même avis. Quelle importance ils attachent, mon Dieu, à penser tous ensemble les mêmes choses."
La nausée, Sartre

Image
Avatar de l’utilisateur
Sherlock
Ex-Chef TuT'
 
Messages: 1335
Inscription: 18 Mai 2014, 09:13
Localisation: 221B Baker Street

Re: Newman

Messagepar Bluebird » 30 Aoû 2015, 15:29

ah oc c'est bon j'ai enfin compris :D :D

Merci beaucoup beaucoup :worship: :worship:
∆ TUTRICE DE BIOCHIMIE 2016-2017 ∆ à la retraite ...

Ronéiste de bioch' 2016-2017 - Team TutTut Bioch'

Passez le post en RESOLU, merci ♥︎
Avatar de l’utilisateur
Bluebird
Super Carabin
 
Messages: 3944
Inscription: 13 Juil 2015, 11:20


Retourner vers Cours



Qui est en ligne

Utilisateurs parcourant ce forum: Aucun utilisateur enregistré et 0 invités