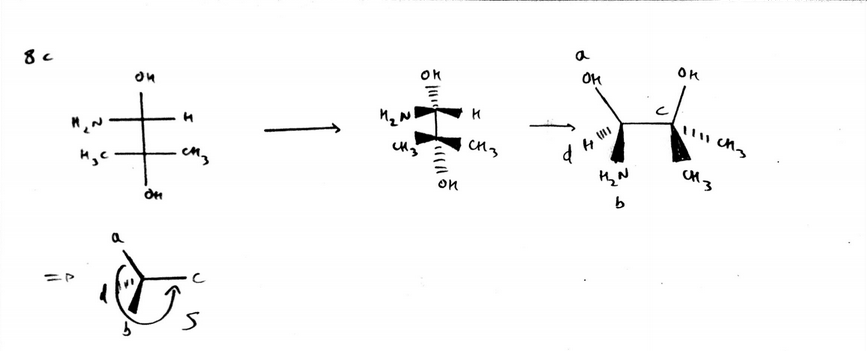
Je ne comprends pas pourquoi le 8c est vrai, il me semble bien que c'est la même molécule (j'ai vérifié et les deux C* sont S), donc ils ne sont pas énantiomères...
Merci


Comment peut on dire que la molécule 1 et 2 ou même 2 et 3 sont des énantiomeres alors que la molécules 1, 2 et 3 possèdent seulement 1 carbone asymétrique ?



Pour voir ça, il faut passer à une configuration de Cram, ça permet de simplifier l'application de la règle CIP.
et donc les molécules ne peuvent pas être énantiomères...



Utilisateurs parcourant ce forum: Aucun utilisateur enregistré et 0 invités