Bonjour !
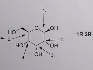
J'ai un problème avec la configuration absolue du carbone 4 de cette molécule : selon la règle CIP, le carbone 3 est le B, et le carbone 5 est le C. Or, c'est le contraire, je ne comprends pas pourquoi..?



Utilisateurs parcourant ce forum: Aucun utilisateur enregistré et 1 invité