Y a un truc que je pige pas dans le premier QCM de la correction officieuse :
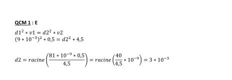
Comment ça se fait que (10^-3)^2=10^-9 ? Étant donné que ça fait 10^-6 vu que dans le cas d'une puissance de puissance il faut juste multiplier les deux ?
(C'est vraiment pas le QCM qui me bloque mais juste ce passage du calcul, quand on applique le carré)
Merci d'avance !


