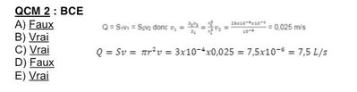
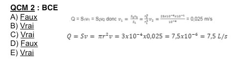
On trouve également dans la correction que le débit est de 7,5.10^-6m^-3/s (item E). Pourtant si on convertit ça fait 7,5.10^-3 L/s non?
Désolé d'avance si je me trompe mais ça fait plusieurs fois que je vois ce qcm et je suis quasiment sûr de moi pour la conversion.
Merci



