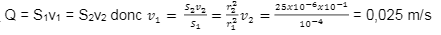
QCM 2 : Une plaque d’athérome dans un vaisseau de diamètre 2cm réduit le rayon de ce vaisseau de 50%, et
la vitesse du sang passe à 0,1 m/s. A votre avis:
On prendra π = 3
A) Son ancienne vitesse est de 0,4 m/s
B) Son ancienne vitesse est de 2,5. 10 −2 m/s
C) Son débit est de 7,5 L/s
D) Son débit est de 7,5 m 3 /s
E) Son débit est de 7,5.10 −6 m 3 /s
Réponse = BCE
Alors d'accord pour le calcul de la vitesse v1 mais pour le débit moi je trouve 3*10^-5 en faisant Q=Sv=pir2v=3*0,02*0,02*0,025
Je vois pas le truc !
