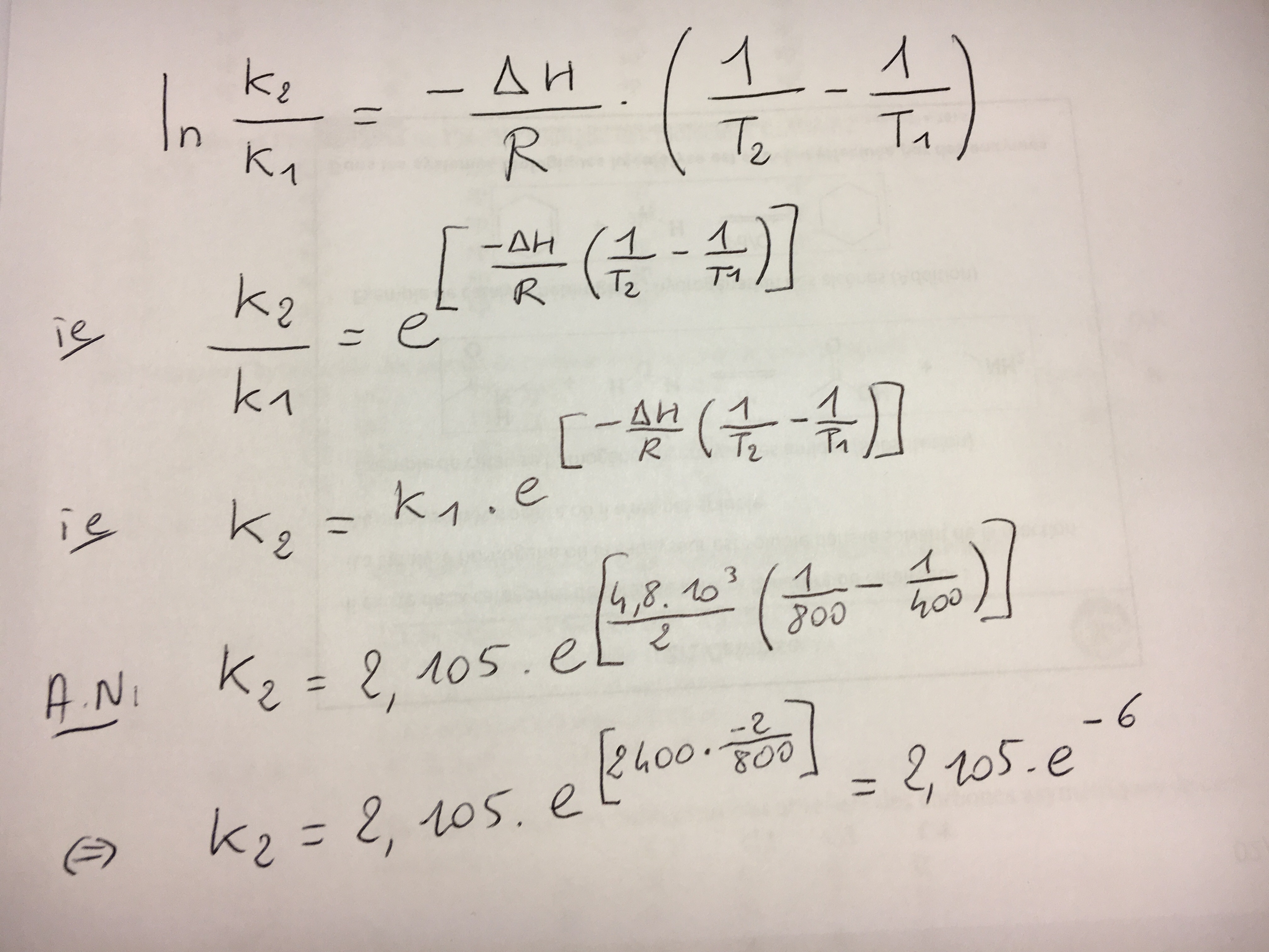
, Il s'agit d'un qcm sur la stœchiométrie, c'est l'application de la dernière formule du cours; d'après mes calculs je tombe sur une exponentielle -6 mais la simplification n'est pas proposée dans l'énoncé.
Je vous joins le qcm ainsi que mon calcul, si quelqu'un peut me dire où je me suis trompée

Merci d'avance, bonne soirée



!