Le Guide pour bien débuter la LAS : Ici

Tutoriel Forum : Ici

Planning des Séances Tutorat et EB : ICI !
Errata : Séances Tutorat et EB, Annatuts, Ronéos
Centres de Téléchargement : ICI !
Réponses des Profs : ICI !
Annales : Achat, Corrections Officieuses
Annatuts : 2025-2026, Sommaire
MCC 25/26 : ICI
Candidature MMOPK : ICI
Terminale Santé : ICI

CORRECTION ST 4 : Ici

Newsletter : ICI


Loi de Van't Hoff intégrée

Règles du forum
Utilisez la fonction recherche (en haut à droite) avant d'ouvrir un nouveau sujet.
Soyez respectueux, et pour faciliter le travail des tuteurs, ne posez qu'une question par sujet puis passez-le en résolu après avoir reçu votre réponse.

Loi de Van't Hoff intégrée

Messagepar CharlèneJ » 29 Oct 2016, 10:42

Coucou !! ^^

Je vous harcèle désolé mais j'y arrive vraiment pas, je sais pas quoi faire et ça fait une matinée que je suis dessus c'est stressant: vraiment désolé !! :crying: :crying:

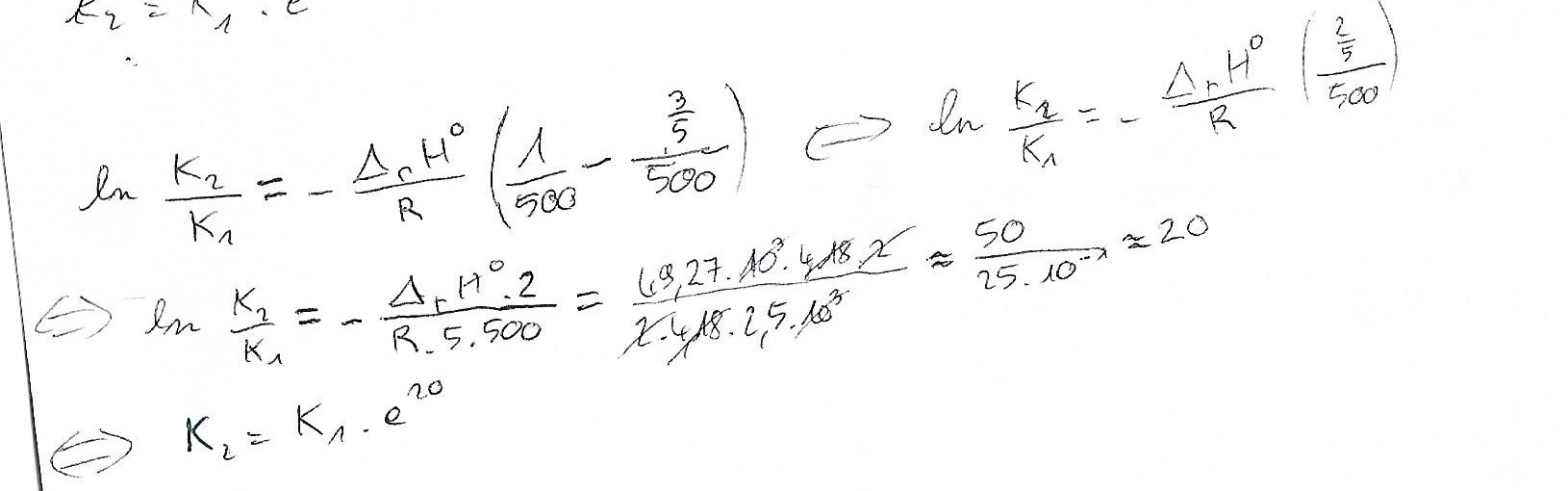
Scan0033 - Copie.jpg

Scan0034.jpg

C'est idem pour 1000 mais si je réussi 500K je devrais réussir 1000K.. (?)

Merci pour votre aide encore une fois et désolé de vous spamer..
CharlèneJ
Carabin addicted
 
Messages: 1234
Inscription: 30 Juil 2016, 12:10

Re: Loi de Van't Hoff intégrée

Messagepar Socca » 29 Oct 2016, 19:37

Salut, on doit avoir : donc :



Bon là je te t'avoue que j'ai fait ce calcul à la calculatrice parce qu'à l'époque elle était autorisée et on trouve 4,1.10-11

quasi équivalent à la valeur de la réponse E

On fait la même chose pour 1000 K, on trouve 2,1

Donc QCM très voire trop dur

Ça va ? :soldier:
Liberté,Ébriété,Fraternité
Avatar de l’utilisateur
Socca
Carabin addicted
 
Messages: 1544
Inscription: 07 Sep 2014, 18:29

Re: Loi de Van't Hoff intégrée

Messagepar CharlèneJ » 29 Oct 2016, 22:55

Coucou !! ^^

Ahlala quand j'ai vu e^20 c'est que je présentais: je me suis fait chier 10ans pour trouver une simplification de l'expo calculable pour rien (surtout qu'au final c'était toujours pas calculable @@ :P )

Par contre comment passes-tu de 1/T1 à (1/2)98 ? :hypnotized:

Désolé d'en rajouter une couche !! :S Bonne soirée !! ^^
CharlèneJ
Carabin addicted
 
Messages: 1234
Inscription: 30 Juil 2016, 12:10

Re: Loi de Van't Hoff intégrée

Messagepar H2O » 30 Oct 2016, 02:15

Salut :)

C'est une faute de frappe, en vrai c'est 1/298 ;)
Tuteur Chimie G 2016/2017

Oubliez pas de passer les posts en résolu quand c'est bon pour vous ;)
Avatar de l’utilisateur
H2O
Carabin vétéran
 
Messages: 484
Inscription: 30 Juil 2016, 17:19

Re: Loi de Van't Hoff intégrée

Messagepar Socca » 30 Oct 2016, 09:51

Oui ça en est une, j'arrive pas à modifier sinon ça me met "Invalid equation" désolé !
Liberté,Ébriété,Fraternité
Avatar de l’utilisateur
Socca
Carabin addicted
 
Messages: 1544
Inscription: 07 Sep 2014, 18:29

Re: Loi de Van't Hoff intégrée

Messagepar CharlèneJ » 30 Oct 2016, 10:23

Coucou !! ^^

C'est pas grave !! :P Merci beaucoup c'est tout bon du coup !! ^^

Bonne journée !! :D
CharlèneJ
Carabin addicted
 
Messages: 1234
Inscription: 30 Juil 2016, 12:10

Re: Loi de Van't Hoff intégrée

Messagepar H2O » 30 Oct 2016, 22:42

C'est modifié !
Tuteur Chimie G 2016/2017

Oubliez pas de passer les posts en résolu quand c'est bon pour vous ;)
Avatar de l’utilisateur
H2O
Carabin vétéran
 
Messages: 484
Inscription: 30 Juil 2016, 17:19

Re: Loi de Van't Hoff intégrée

Messagepar CharlèneJ » 30 Oct 2016, 23:59

Ah ah merciii !! ^^
CharlèneJ
Carabin addicted
 
Messages: 1234
Inscription: 30 Juil 2016, 12:10


Retourner vers QCMs



Qui est en ligne

Utilisateurs parcourant ce forum: Aucun utilisateur enregistré et 0 invités