Le Guide pour bien débuter la LAS : Ici

Tutoriel Forum : Ici

Planning des Séances Tutorat et EB : ICI !
Errata : Séances Tutorat et EB, Annatuts, Ronéos
Centres de Téléchargement : ICI !
Réponses des Profs : ICI !
Annales : Achat, Corrections Officieuses
Annatuts : 2025-2026, Sommaire
MCC 25/26 : ICI
Candidature MMOPK : ICI
Terminale Santé : ICI

INSCRIPTIONS ATELIERS ORAUX : Ici

SUJETS EB SEMESTRE 2 : Ici

Newsletter : ICI


Roneo 1

Règles du forum
Utilisez la fonction recherche (en haut à droite) avant d'ouvrir un nouveau sujet.
Soyez respectueux, et pour faciliter le travail des tuteurs, ne posez qu'une question par sujet puis passez-le en résolu après avoir reçu votre réponse.

Roneo 1

Messagepar Océane HE » 14 Nov 2016, 09:22

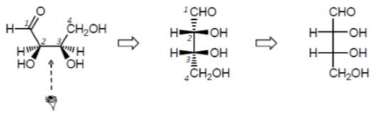
Salut, par rapport à la page 11 et la projection de Fisher, on est obliger de faire la rotation ou pas pour passer de cram à Fisher?
Océane HE
Carabin vétéran
 
Messages: 392
Inscription: 30 Juil 2016, 21:09

Re: Roneo 1

Messagepar L-Blouups! » 15 Nov 2016, 10:03

Salut :)

Oui, il le faut : ça te permet de projeter les substituants du haut et du bas vers l'arrière :)
cram - fischer.png

Bonne journée ;)
Avatar de l’utilisateur
L-Blouups!
Carabin vétéran
 
Messages: 424
Inscription: 21 Aoû 2015, 16:21


Retourner vers Cours



Qui est en ligne

Utilisateurs parcourant ce forum: Aucun utilisateur enregistré et 1 invité