Salut

On a
2 types de stéréoisomères :
-
les stéréoisomères de conformation (=conformères) 
on peut passer d'un conformère à l'autre en faisant des
rotations- les
stéréoisomères de configuration (= énantiomères ou diastéréstéréoisomères) 
on ne peut pas passer de l'un à l'autre en faisant de simples rotation et on doit
casser les liaisonsCe qu'on va chercher à voir dans n'importe quelle représentation c'est ce
lien entre les molécules.En
configuration de Newman, notre oeil vise un axe carbone-carbone ce qui nous permet d'apprécier les configurations de 2 carbones, de voir leur configuration absolue et conclure au type de lien avec les autres molécules.

- newmann.png (14.01 Kio) Vu 216 fois
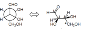
Pour
Fischer, les règles de cette représentation nous permettent d'apprécier chacun des carbones.

- énantiomères fischer.png (11.94 Kio) Vu 216 fois
Dans l'exemple du haut (tiré d'une fiche de bioch ^^), on voit que la configuration absolue de
chacun de ces carbones est inversée : ces molécules sont
énantiomères.

Si un seul carbone asymétrique sur tous ceux présents avait été inversé, on aurait parlé d'
épimère (qui est un type de diastéréoisomère)

Si un ou plusieurs carbones asymétriques (mais pas la totalité) sont inversés, on parle de
diastéréoisomères.
C'est bon pour toi ?
Bonne journée
