Salut
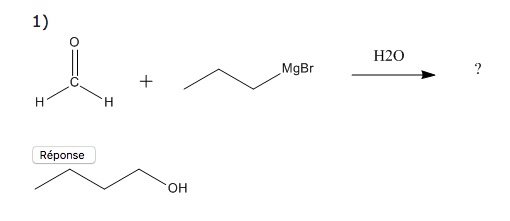
Pour ta 1ère réaction, cela correspond à une
addition d'organomagnésien (nucléophile fort). L'organomagnésien attaque le carbone électrophile. Cette attaque fait basculer la double liaison vers l'oxygène, on aboutit alors à un alcoolate O- qui grâce à l'hydrolyse sera protoné en alcool.
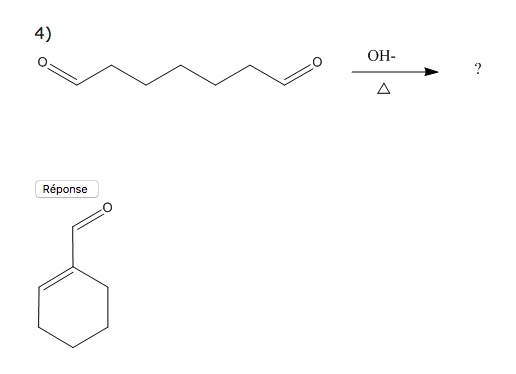
Pour ta 2ème réaction, c'est une
addition d'alcool (nucléophile faible), on aboutit à la formation d'
acétal et d'eau.
L'ion H+ active ton carbonyle : il se lie à l'oxygène du carbonyle pour augmenter l'électrophilie du carbone. L'alcool ROH peut alors attaquer ce carbone. Ce groupement ROH se déprotonne et on aboutit à un hémiacétal. Puis on refait la même chose : on protonne l'hydroxyle (on augmente l'électrophilie du carbone) permettant l'attaque par le second ROH, on libère une molécule d'eau puis on déprotonne le groupement ROH pour aboutir à un acétal
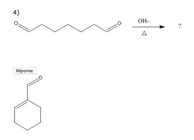
Pour ta 3ème réaction, là tout de suite je vois pas trop ce que c'est... :S
Pour ces réactions, je te renvoie à la fiche "aldéhyde-cétone-énol" du
centre de téléchargements, dis moi si ça te convient ou si t'as besoin d'infos complémentaires

Pour le concours, je peux pas te dire... Ca pourrait tomber vu que ça a été fait en cours, mais voilà...
Bonne soirée
