Le Guide pour bien débuter la LAS : Ici

Tutoriel Forum : Ici

Planning des Séances Tutorat et EB : ICI !
Errata : Séances Tutorat et EB, Annatuts, Ronéos
Centres de Téléchargement : ICI !
Réponses des Profs : ICI !
Annales : Achat, Corrections Officieuses
Annatuts : 2025-2026, Sommaire
MCC 25/26 : ICI
Candidature MMOPK : ICI
Terminale Santé : ICI

CORRECTION ST 4 : Ici

Newsletter : ICI


QCM 41, 2009-2010

Règles du forum
Utilisez la fonction recherche (en haut à droite) avant d'ouvrir un nouveau sujet.
Soyez respectueux, et pour faciliter le travail des tuteurs, ne posez qu'une question par sujet puis passez-le en résolu après avoir reçu votre réponse.

QCM 41, 2009-2010

Messagepar CharlèneJ » 12 Fév 2017, 17:44

Salut !! ^^

Scan0003.jpg


Scan0004.jpg


La réponse est la B, mais je trouve plus quelle autre erreur j'ai pu faire :hypnotized:

Merci d'avance !! ^^ Bonne soirée !! :D
CharlèneJ
Carabin addicted
 
Messages: 1234
Inscription: 30 Juil 2016, 12:10

Re: QCM 41, 2009-2010

Messagepar jacquette » 25 Fév 2017, 19:22

Salut :)

Excuse moi du retard je n'avais pas du tout vu ton message !
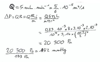
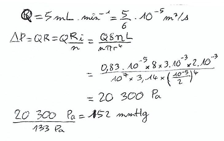
Tu as raison c'est bizarre je ne trouve pas la B non plus, mais il manque la valeur de la viscosité j'ai pris 3,14 x 10^-3 mais je ne suis pas sure qu'ils utilisent cette valeur du coup :/
Du coup si tu as la valeur de l’énoncé donne la moi je re essaye!

Sinon tu as la bonne méthode, le seul pb c'est pour le débit , 5mL/min = 5 x 10^-6 m3/min = 5/6 x 10^-7 m3/s (et pas 10^-5!)
Avatar de l’utilisateur
jacquette
Carabin Geek
 
Messages: 560
Inscription: 22 Juil 2016, 11:39


Retourner vers QCMs



Qui est en ligne

Utilisateurs parcourant ce forum: Aucun utilisateur enregistré et 0 invités