Salut!
La ronéo est bien juste, c'est juste que le prof ne détaille pas trop car c'est un peu compliqué
Regarde:
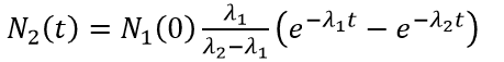
-On te dis que

- Capture d’écran (89).png (5.02 Kio) Vu 179 fois
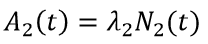
-Tu sais que

- Capture d’écran (90) - Copie.png (2.67 Kio) Vu 179 fois
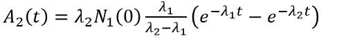
-Du coup tu remplaces ton
N2(t)

- Capture d’écran (90).png (5.07 Kio) Vu 179 fois
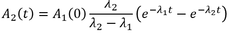
-Et tu simplifie le
N1(0) lambda1 par
A1(0)

- Capture d’écran (91) - Copie.png (5.37 Kio) Vu 179 fois
Est ce que c'est mieux?
