Le Guide pour bien débuter la LAS : Ici

Tutoriel Forum : Ici

Planning des Séances Tutorat et EB : ICI !
Errata : Séances Tutorat et EB, Annatuts, Ronéos
Centres de Téléchargement : ICI !
Réponses des Profs : ICI !
Annales : Achat, Corrections Officieuses
Annatuts : 2025-2026, Sommaire
MCC 25/26 : ICI
Candidature MMOPK : ICI
Terminale Santé : ICI

CORRECTION ST 4 : Ici

Newsletter : ICI


Sacrés Stérides

Règles du forum
Utilisez la fonction recherche (en haut à droite) avant d'ouvrir un nouveau sujet.
Soyez respectueux, et pour faciliter le travail des tuteurs, ne posez qu'une question par sujet puis passez-le en résolu après avoir reçu votre réponse.

Sacrés Stérides

Messagepar Charlot » 19 Oct 2017, 15:04

Bonjour!
Ma question a déjà été en partie posée sur ce post: http://carabinsnicois.fr/phpbb/viewtopi ... 4&t=109086
Mais malheureusement ça ne répond pas entièrement à mon problème.

Jusqu'ici j'ai compris que les Stérols (Dénomination Générale) sont AMPHIPHILES.
Les stérols (dénomination précise) le sont tous (je crois que chaque stérol a au moins une fonction hydroxyle), ou la plupart en tout cas (comme l'oestradiol).
Cependant dans son diapo, le professeur a écrit ça:
Sans titre3.png
Sans titre3.png (6.75 Kio) Vu 346 fois

Pour moi seul le noyau stérane est HYDROPHOBE, le stérol ne l'est pas non? (vous aviez l'air d'accord avec moi dans le post cité ci-dessus mais le professeur n'a pas marqué ça..)

Passons à la deuxième partie (désolééé 0_o )
Le Stéride est défini comme un Stérol + un Ester d'AG:
Sans titre2.png
Sans titre2.png (7.29 Kio) Vu 346 fois

Le stéride est donc estérifié, ce qui enlève la fonction hydroxyle du stérol (devient une fonction ester), donc le stéride me semble bien être un composé hydrophobe, comme le dit la diapo de conclusion:
Sans titre.png

mais ceci est vrai uniquement dans le cas où le stérol d'origine n'a qu'une seule fonction hydroxyle. Car s'il en a plusieurs, même si une disparait, les autres maintiennent un caractère amphiphile.

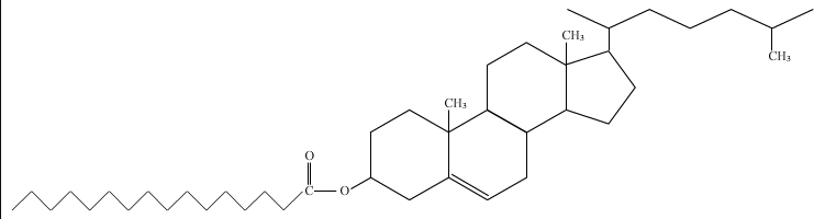
Voici un exemple pour illustrer la deuxième partie, voici un STÉRIDE, plus précisément un ester de cholestérol, qui est HYDROPHOBE, car il n'a plus de fonction OH (enfin je crois). Cependant si le noyau stérane ou la chaîne aliphatique comportait une autre fonction OH, alors ce stéride serait AMPHIPHILE non?
Sans titre4.png
Sans titre4.png (9.16 Kio) Vu 346 fois


Le but de tout ça est de savoir répondre à ceci le jour du concours:
Stérol (En général): Hydrophobe ou Amphiphile?
Stérol (plus précis): Hydrophobe ou Amphiphile?
Stéride: Hydrophobe ou Amphiphile?

Voilà voilà je suis profondément désolé de vous infliger ça :neutre: je me doute bien que 1) je ne suis pas très clair et 2) le prof n'est pas clair non plus alors vous même ne pourrez pas trop m'aider, mais si jamais vous avez des éléments de réponse ou si vous pouvez transmettre au prof ça serait super!
Car cette partie n'est jamais limpide et un piège est vite arrivé ^^

Merci d'avance et courage :kiss:
:in-love: :gauss: :phoque: Tut' Biostats ! :phoque: :gauss: :in-love:
Avatar de l’utilisateur
Charlot
Tut' Biostat
Tut' Biostat
 
Messages: 1232
Inscription: 06 Aoû 2016, 12:13
Localisation: Nissa la Bella <3

Re: Sacrés Stérides

Messagepar Dinette » 23 Oct 2017, 23:05

Coucou !

Alors effectivement c'est une partie que le prof a laisse ambigu...
:arrow: noyau stérane = hydrophobe

:arrow: stérol est normalement amphihile (noyau stérane hydrophobe + OH hydroxyle) mais base toi sur les réponses du prof meme si ca ne parait pas logique c'est lui qui fait les QCM !

:arrow: stérides : considère que ce sont des molécules hydrophobes parce que certes on a bien la partie OH hydrophile mais ca représente tellement une petite partie par rapport à la molécule totale que l'on considère que la molécule est hydrophobe

Voila j'spere avoir répondu à ta question.... est ce que c'est mieux ?
TEAM BIOCH EN FORCE <3 <3
Et n'oubliez pas de passer en résolu ! <3
Avatar de l’utilisateur
Dinette
Carabin addicted
 
Messages: 1102
Inscription: 28 Juin 2016, 19:15

Re: Sacrés Stérides

Messagepar Charlot » 24 Oct 2017, 07:52

Hello,
D'accord merci ,
Vous pourrez vérifier auprès du prof pour être sur?
Merci bonne journée !
:in-love: :gauss: :phoque: Tut' Biostats ! :phoque: :gauss: :in-love:
Avatar de l’utilisateur
Charlot
Tut' Biostat
Tut' Biostat
 
Messages: 1232
Inscription: 06 Aoû 2016, 12:13
Localisation: Nissa la Bella <3


Retourner vers Structurale



Qui est en ligne

Utilisateurs parcourant ce forum: Aucun utilisateur enregistré et 0 invités