Coucou

Alors je vais t'expliquer tout ça mais je te conseille
d'aller télécharger la fiche sur les glucides qui est en ligne sur le forum tu as
l'explication et pleins de mnémos !
Alors : pourquoi n'est-il
pas possible d'obtenir un
diholoside avec le
carbone en position 5 ?
Petit rappel : un
diholoside comporte une
liaison osidique ou glycosidique issue de la
condensation d'un hydroxyle (OH) de la
fonction hémiacétale d'un ose et de la
fonction hydroxyle d'un autre ose (
qui peut lui appartenir ou non à la fonction hémiacétal).
L'important c'est vraiment que minimum un des hydroxyles provienne de la fonction hémiacétal !
Globalement : OH de la fonction hémiacétal ou pas tu vois que pour faire une
liaison osidique tu as
besoin de deux OH.
Or
sous forme cyclisé le carbone
5 ne possède
plus de OH c'est pourquoi on ne peut
pas faire de liaison avec le carbone 5 car
il ne possède pas de fonction hydroxyle (OH).

- carbone 5.jpeg (9.37 Kio) Vu 94 fois
Ici tu vois bien qu'au niveau du carbone 5il n'y a pas de OH !!!
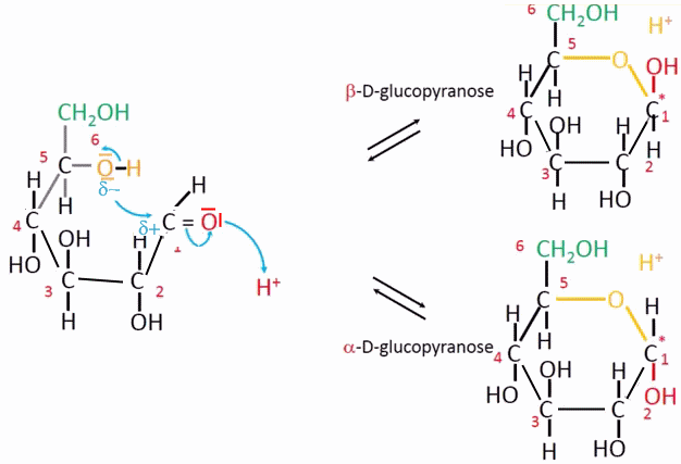
Mais pourquoi n'a-t-on pas de OH sur le carbone 5 ? Tout ça s'explique par le phénomène de cyclisation :

Ici tu vois qu'initialement sur ton
carbone 5 tu avais une fonction OH, or le
H du OH en orange va de manière simplifié
partir et
être inclus dans la fonction hémiacétal De ce fait,
par ce phénomène de cyclisation tu vois que ton
carbone 5 ne sera plus relié à un OH, donc
pas de possibilité pour lui de participer à une liaison osidique.

Pour être sûre que tout est OK je te joins
une image pour que tu visualises bien ce qu'est une
fonction hémiacétal :

- Hemiacetal-formule.png (661 Octets) Vu 94 fois

Voilà j'espère avoir répondu à ta question bisous
