Salut

Concernant l'item C: le
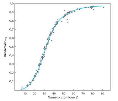
rendement de fluorescence est égal à la probabilité de l'émission d'un photon de fluorescence divisé par la probabilité de l'émission d'un électron Auger. Ce rendement dépend du nombre d'électrons, c'est à dire du
numéro atomique (Z). Dans cet item, on nous parle des atomes de carbone (Z=6) et de souffre (Z=16). L'atome de souffre a un Z supérieur à celui du carbone, ce qui signifie qu'il a plus d'électrons (il en a 16, donc 10 de plus que le carbone).
Or, plus l'atome est riche en électrons (Z élevé), plus le rendement de fluorescence augmente, ce qui signifie qu'il est plus probable que la désexcitation de l'atome se fasse par émission d'un photon de fluorescence. À l'inverse, plus l'atome est léger (Z faible) et plus la désexcitation par émission Auger est propable. Pour visualiser un peu, voici une courbe qui montre l'évolution de ce rendement de fluorescence:

- Réponse fofo.JPG (18.07 Kio) Vu 191 fois
Ainsi, l'atome de carbone étant
plus léger que l'atome de souffre (car Z
carbone = 6 < Z
souffre =16), un atome de carbone instable a plus de chance de se désexciter par émission d'un électron Auger qu'un atome de souffre instable. Et inversement, l'atome de souffre a plus de chance de se désexciter par émission d'un photon de fluorescence qu'un atome de carbone instable. Donc item C -->
FAUX 
Pour l'item D c'est le même raisonnement: Z
azote = 7 < Z
calcium = 20. L'atome d'azote étant plus léger, il a donc plus de chance de retourner à l'état fondamental par l'émission d'un électron Auger qu'un atome de calcium. Item D -->
VRAIC'est bon pour toi ?
PS: Évite de poster tes questions dans 2 sections différentes stp, c'est mieux pour qu'on s'y retrouve

Par exemple, là tu aurais pu seulement poster dans la section "QCM" et pas dans "Interactions des rayonements ionisants".