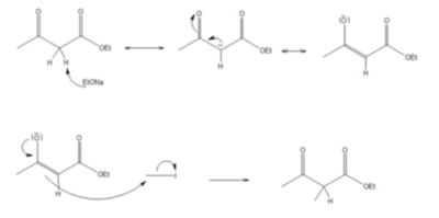
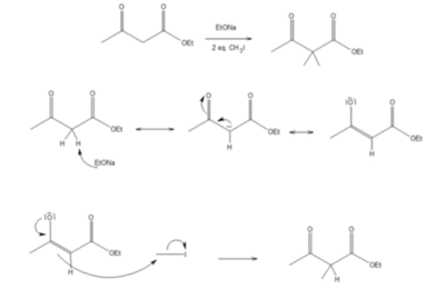
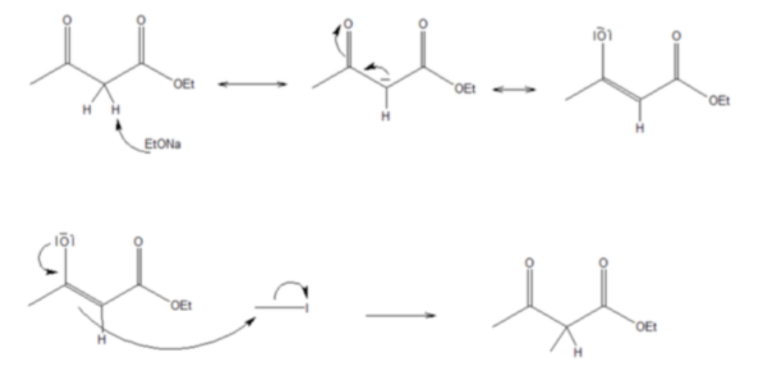
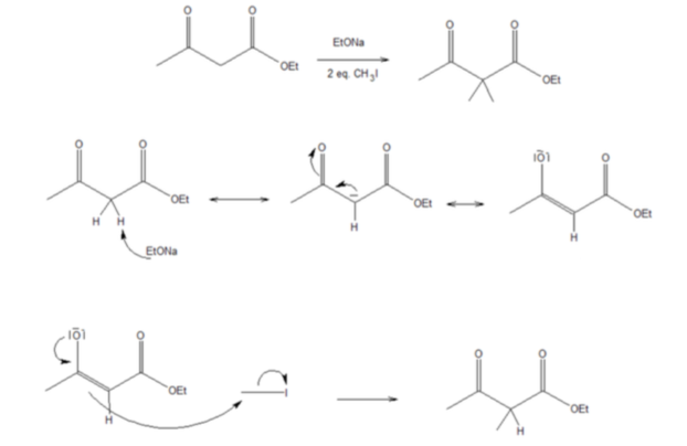
Bonjour, j’ai du mal à comprendre en quoi les item a et d sont justes ?
Pouvez vous m’aider ?
Merxi

CHEF TUT ORIENTATION 2020-2021
TUTEUR DE CHIMIE ORGA 2019-2020
Ronéiste de BIOPHYSIQUE 2019-2020


CHEF TUT ORIENTATION 2020-2021
TUTEUR DE CHIMIE ORGA 2019-2020
Ronéiste de BIOPHYSIQUE 2019-2020


CHEF TUT ORIENTATION 2020-2021
TUTEUR DE CHIMIE ORGA 2019-2020
Ronéiste de BIOPHYSIQUE 2019-2020


Retourner vers QCM Annatuts, DM & annales
Utilisateurs parcourant ce forum: Aucun utilisateur enregistré et 1 invité