Coucou !

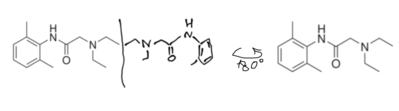
En fait déjà il faut que tu saches que si un atome est lié à 3 groupements donc AX3 et bien sa géomètrie est trigonale PLANE ! Et si il est lié à 2 atomes alors il est linéaire donc PLAN.
Donc si tout tes les atomes de la molécule sont liés à trois groupement maximum alors la molécule sera forcément plane, tu suis toujours ?
Et ici c'est le cas et quand les carbones sont lié à 4 groupements différents on se rend compte que ce sont pas des groupements différents exemple en partie 2 hydrogènes et donc qu'on peut les répartir équitablement d'un côté et de l'autre du plan et donc qu'on peut garder cette symétrie (c'est pour ça que le carbone n'est pas asymétrique). Tous les atomes sont symétrique si tu préfère !
(Exception de l'azote qui est bien symétrique à cause de l'interversion permanente du DNL (si tu te posais la question))
Donc il existe un plan de symétrie sur cette molécule donc celle-ci est achirale !
Bon après je te rassure le prof ne fera sûrement pas tomber un tel item au CC sur une molécule aussi complexe pour vous !
C'est bon pour toi ?
