Le Guide pour bien débuter la LAS : Ici

Tutoriel Forum : Ici

Planning des Séances Tutorat et EB : ICI !
Errata : Séances Tutorat et EB, Annatuts, Ronéos
Centres de Téléchargement : ICI !
Réponses des Profs : ICI !
Annales : Achat, Corrections Officieuses
Annatuts : 2025-2026, Sommaire
MCC 25/26 : ICI
Candidature MMOPK : ICI
Terminale Santé : ICI

INSCRIPTIONS ATELIERS ORAUX : Ici

SUJETS EB SEMESTRE 2 : Ici

Newsletter : ICI


Correction du sujet UE1


Correction du sujet UE1

Messagepar Caillou » 04 Jan 2011, 19:30

Alors alors pour moi mais j'attend la confirmation de mon co'tut' (et aussi la mienne, je le referais plus tard pour être sur ^^) :

1A
2B
3B (là je trouve pas ça sympa, je le trouve super dur sans calculette ..)
4E
5C

Pour la ChimieO et la Bioch' mettez ça ici comme ça on s'éparpille pas dans 3 sujets pour une seule épreuve !
Tuteur Chimie Générale 2010|2011 Ronéoiste Chimie Organique

Elu UFR Médecine
Co-Fondateur du Parrainage des PAES Niçois
Avatar de l’utilisateur
Caillou
Elu UFR
 
Messages: 472
Inscription: 03 Sep 2008, 21:48
Localisation: Nice

Re: Correction du sujet UE1

Messagepar Will » 04 Jan 2011, 20:14

Bon pour le moment ça va même si le 3 était vraiment gore et immonde ^^
Avatar de l’utilisateur
Will
Carabin addicted
 
Messages: 1011
Inscription: 31 Juil 2010, 19:59

Re: Correction du sujet UE1

Messagepar clemsa » 04 Jan 2011, 20:36

Bonjour,

juste pour que vous vérifiez que c'est pas plutôt B au qcm 2 ? pcq même dans le livre c'est bien positif
clemsa
Carabin confirmé
 
Messages: 73
Inscription: 23 Sep 2010, 13:03

Re: Correction du sujet UE1

Messagepar Fredo » 04 Jan 2011, 20:47

non c'est bien B petite erreur de notre tut je pense ^^ ( ou alors je suis mauvais ^^ )
J'ai trouvé le 3 super simple même sans calculette moi :p
1/800 - 1/400 => 1/800 - 2/800 => -1/800 et après c'étais easy ^^
Ohhhhh Comment tu parles à Masseur !!!!!
Avatar de l’utilisateur
Fredo
Carabin vétéran
 
Messages: 368
Inscription: 26 Nov 2009, 22:02
Localisation: aux toilettes

Re: Correction du sujet UE1

Messagepar Alex Kaisui » 04 Jan 2011, 23:53

d'accord avec Fredo, il était largement faisable sans calculette, tout s'annulait le monde il est beau ^^
et la 2 c'est clairement B, le calcul ne pourrait donner -216 que si on inverse tous les signes, ce qui est totalement faux :/
Dernière édition par Alex Kaisui le 05 Jan 2011, 01:17, édité 1 fois.
Avatar de l’utilisateur
Alex Kaisui
Carabin vétéran
 
Messages: 328
Inscription: 18 Oct 2009, 11:20
Localisation: Vence

Re: Correction du sujet UE1

Messagepar Matthiasovitch » 05 Jan 2011, 00:35

Je pense que pour la 2 c'est B, normalement il faut fournir de la chaleur a un système pour le faire bouillir. Ça relève autant de la cuisine que de la thermodynamique.
Tueur Biophy/physique/physio 2011-2012, et pas qu'un peu!
Avatar de l’utilisateur
Matthiasovitch
Apprenti Carabin
 
Messages: 161
Inscription: 29 Sep 2010, 23:10

Re: Correction du sujet UE1

Messagepar Fredo » 05 Jan 2011, 02:25

J'ai envie de te dire si tu veux faire chauffer quelque chose tu apporte de l'energie au systéme DeltaH forcement positif . C'est de la cuisine :p
Ohhhhh Comment tu parles à Masseur !!!!!
Avatar de l’utilisateur
Fredo
Carabin vétéran
 
Messages: 368
Inscription: 26 Nov 2009, 22:02
Localisation: aux toilettes

Re: Correction du sujet UE1

Messagepar loul » 05 Jan 2011, 13:05

mm en faisant" betement " le calcul moi j'ai trouvé B, je veux que se soit BBBBBB!!!! lool
Quel que soit l'être de chair et de sang qui vient à la vie, s'il a figure d'homme, il porte en lui le droit humain.
[JJ]
Avatar de l’utilisateur
loul
Carabin vétéran
 
Messages: 355
Inscription: 19 Sep 2009, 08:48

Re: Correction du sujet UE1

Messagepar loul » 05 Jan 2011, 13:48

Chimie O :5c 6d 7b 8 c 9b 10 e 11a 12d
Dernière édition par loul le 06 Jan 2011, 10:46, édité 1 fois.
Quel que soit l'être de chair et de sang qui vient à la vie, s'il a figure d'homme, il porte en lui le droit humain.
[JJ]
Avatar de l’utilisateur
loul
Carabin vétéran
 
Messages: 355
Inscription: 19 Sep 2009, 08:48

Re: Correction du sujet UE1

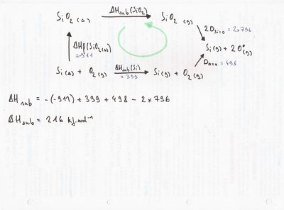
Messagepar Caillou » 05 Jan 2011, 13:58

loul a écrit:je veux que se soit BBBBBB!!!! lool

SCAN0035.JPG
(pardon c'est moche et au dos d'une vielle ronéo de ma 1ière P1 mais bon c'est mieux que rien !)

C'est bien B ^^
Tuteur Chimie Générale 2010|2011 Ronéoiste Chimie Organique

Elu UFR Médecine
Co-Fondateur du Parrainage des PAES Niçois
Avatar de l’utilisateur
Caillou
Elu UFR
 
Messages: 472
Inscription: 03 Sep 2008, 21:48
Localisation: Nice

Re: Correction du sujet UE1

Messagepar loul » 05 Jan 2011, 14:28

super caillou <3 merci!

pr la bioch je ne fais que proposer:

13A
14c
C
15C
16 A
17D
18c
19A
20B
21a
22E
23b
24b
25E
26d ou c
27dalX dit b, je voix pas pk 4 serai faux /: et selon moi( sa n'engage que moi) les C ne st pas identique en g3p et dhap après la triose mais bon p-e que si lol
28b
29d
30d
31b
32e je maintient E je suis quasi certaine de la 5
Dernière édition par loul le 05 Jan 2011, 21:13, édité 1 fois.
Quel que soit l'être de chair et de sang qui vient à la vie, s'il a figure d'homme, il porte en lui le droit humain.
[JJ]
Avatar de l’utilisateur
loul
Carabin vétéran
 
Messages: 355
Inscription: 19 Sep 2009, 08:48

Re: Correction du sujet UE1

Messagepar Super-P1 » 05 Jan 2011, 15:19

Pour la 11 je pense que c'est la A car les deux composés ne sont justement pas les mêmes L'un est RR l'autre SS
Super-P1
Carabin newbie
 
Messages: 13
Inscription: 06 Nov 2010, 19:59

Re: Correction du sujet UE1

Messagepar alX » 05 Jan 2011, 15:21

salut , salut

bn moi j'ai casiment les méme réponses que toi en bioch sauf pour les exos :

22 E
26 C
27 B
32 A
alX
Carabin newbie
 
Messages: 6
Inscription: 10 Nov 2010, 21:38

Re: Correction du sujet UE1

Messagepar Alex Kaisui » 05 Jan 2011, 20:02

loul a écrit:Chimie O :5c 6d 7b 8 c 9b 10 e 11d 12d

Pareil mais je propose 9D et 11A (la 3 est juste, il a fait exactement le même en cours ;D)
Avatar de l’utilisateur
Alex Kaisui
Carabin vétéran
 
Messages: 328
Inscription: 18 Oct 2009, 11:20
Localisation: Vence

Re: Correction du sujet UE1

Messagepar Super-P1 » 05 Jan 2011, 20:39

Je suis d'accord avec toi pour la 11 comme je l'ai dit un peu plus haut mais la 9 c'est bel et bien la B car Ton OsO4 n'agit que sur un des deux carbones car Il y en a un qui est tertiaire donc tu ne peux avoir d'acide carboxy. aprés peut être que je me trompe :)
Super-P1
Carabin newbie
 
Messages: 13
Inscription: 06 Nov 2010, 19:59

Re: Correction du sujet UE1

Messagepar Alex Kaisui » 05 Jan 2011, 20:48

En fait les 2 premières réactions posent pas de problème : on a d'abord osmylation réductrice classique, puis une transformation en acide carboxylique uniquement pour l'alcool primaire, le second reste alcool.
Par contre pour la dernière j'y suis allé au feeling, ce qui me dérange c'est le chauffage en présence d'acide... En fait l'oxydation aurait juste transformé l'alcool primaire en aldéhyde, puis la seconde réaction élimine l'alcool tertiaire donnant une double liaison en alpha de l'aldéhyde ? à ce moment là ce serait bien B effectivement...
Avatar de l’utilisateur
Alex Kaisui
Carabin vétéran
 
Messages: 328
Inscription: 18 Oct 2009, 11:20
Localisation: Vence

Re: Correction du sujet UE1

Messagepar loul » 05 Jan 2011, 20:59

je pense que thomas a plat ferra une bien meilleur correction, moi sa m'arrangerai ces changements lol mais à la sortit du concours il était là , c'est de lui que je tiens la correction :)
Quel que soit l'être de chair et de sang qui vient à la vie, s'il a figure d'homme, il porte en lui le droit humain.
[JJ]
Avatar de l’utilisateur
loul
Carabin vétéran
 
Messages: 355
Inscription: 19 Sep 2009, 08:48

Re: Correction du sujet UE1

Messagepar Alex Kaisui » 05 Jan 2011, 21:38

Tu plaisantes ? Pour le QCM 9 je comprends, mais pour le 11, la réaction 3 il l'a faite en cours et c'est exactement la même si on tourne le deuxième composé dans le bon sens... je suis perdu :s
Avatar de l’utilisateur
Alex Kaisui
Carabin vétéran
 
Messages: 328
Inscription: 18 Oct 2009, 11:20
Localisation: Vence

Re: Correction du sujet UE1

Messagepar Vincent B » 06 Jan 2011, 00:07

alX a écrit:salut , salut

bn moi j'ai casiment les méme réponses que toi en bioch sauf pour les exos :

22 E
26 C
27 B
32 A


Salut,

Pour la 26 j'hésitais plutôt entre la b et la c...

1 Un effecteur allostérique hérérotrope positif ne possède pas d'analogie structurale avec le substrat.Vrai

2 La désensibilisation d'une enzyme allostérique suite à un traitement chimique n'implique pas la perte de la structure quaternaire de l'enzyme.Faux

3 Un activateur allostérique hétérotrope déplace la courbe v=f(S) vers la gauche. Vrai

4 Dans le cas d'une enzyme allostérique à effet homotrope, on dit qu'il y a coopérativité parce que l'activité des autres protomères de l'enzyme est augmentée suite à la fixation du substrat sur un des protomères.Faux coopérativité augmentée suite à la fixation du ligant ou effecteur

5 Les enzymes allostériques exercent leur rôle régulateur le plus efficace dans l'intervalle de concentrations physiologique en substrat.j'hésite entre vrai et Faux, j'ai pas bien saisi à quoi correspond l' "intervalle de concentration physiologique"

Qu'en pensez vous?
Avatar de l’utilisateur
Vincent B
Ex-Chef TuT'
 
Messages: 1243
Inscription: 02 Oct 2010, 00:40

Re: Correction du sujet UE1

Messagepar Alex Kaisui » 06 Jan 2011, 00:45

l'item 5 est vrai, l'intervalle physio ce sont des concentrations où S ne peut être ni plus élevé, ni plus faible physiologiquement, donc quand l'allostérie est en marche, la courbe est déplacée soit vers la gauche (+) soit vers la droite (-) et son activité sera alors augmentée ou inhibée ^^
Avatar de l’utilisateur
Alex Kaisui
Carabin vétéran
 
Messages: 328
Inscription: 18 Oct 2009, 11:20
Localisation: Vence

Suivante

Retourner vers UE 1 (Chimie G, Chimie O, Biochimie )



Qui est en ligne

Utilisateurs parcourant ce forum: Aucun utilisateur enregistré et 0 invités