Le Guide pour bien débuter la LAS : Ici

Tutoriel Forum : Ici

Planning des Séances Tutorat et EB : ICI !
Errata : Séances Tutorat et EB, Annatuts, Ronéos
Centres de Téléchargement : ICI !
Réponses des Profs : ICI !
Annales : Achat, Corrections Officieuses
Annatuts : 2025-2026, Sommaire
MCC 25/26 : ICI
Candidature MMOPK : ICI
Terminale Santé : ICI

INSCRIPTIONS ATELIERS ORAUX : Ici

SUJETS EB SEMESTRE 2 : Ici

Newsletter : ICI


Correction détaillé QCM2/3 Tut 3


Correction détaillé QCM2/3 Tut 3

Messagepar Caillou » 27 Oct 2010, 22:02

La correction qu'on vous a passez hier en amphi est complète, je fais juste ça pour vous montrer que sans calculette c'est faisable.
En plus ce ne sont pas mes QCMs mais ceux de Louis-Antoine, donc ne me dites pas "Ouai mais c'est facile tu les a fait donc tu connais le résultats" :wink:

Bien entendu, vu qu'il risque d'y avoir maximum 5 QCMs de Chimie G (on ne sait pas encore) dans le sujet du concours en UE1, il y en aura pas 5 uniquement de Thermo comme dans le tutorat 3 !
Donc rassurez vous si vous avez trouvé ça long et dur, car le prochain tutorat sera plus représentatif d'un vrai sujet en Chimie : Certainement un QCM de Thermodynamique long et dur, mais aussi pourquoi pas un QCM d'Atomistique (genre VSEPR) qui prend 20 secondes ..

Aussi, reprenez bien les QCMs d'hier, on a essayé d'y mettre un maximum de notion : Enthalpie standard H, Enthalpie Libre G, Entropie, Cycle en utilisant la loi de Hess, Kirchhoff, Combustion, Hydrogénation ..

Pour info personnelle, l'an dernier au concours j'ai fait 15 QCMs en 40 minutes, et 2 de Thermo en 20 minutes (Humm la bonne époque ou la Chimie avait une épreuve d'une heure et 17 QCMs ..) 8)
Donc normal si vous n'avez pas eu le temps de finir (c'est que le début et la Thermodynamique ça demande de l'entrainement), et top si vous avez fini dans les temps !

Par contre j'ai fait ça à la main parce que taper des formules c'est HYPER long (la mise en page du sujet du tutorat avec toutes les molécules et les DeltaH à taper c'était d'un lonnng ..) !

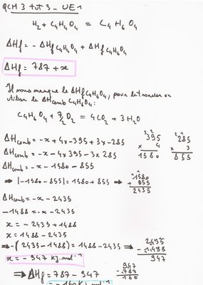
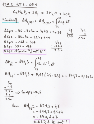
QCM 2, ou on utilise la loi de Kirchhoff :
Ici il "suffit juste" de connaître la formule, savoir poser des multiplications et des soustractions et faire une integrale d'une constante.
QCM2.png


QCM 3, plus dur, mais pas infaisable, il faut encore une fois savoir poser une multiplication et une soustraction.
QCM3.JPG
Tuteur Chimie Générale 2010|2011 Ronéoiste Chimie Organique

Elu UFR Médecine
Co-Fondateur du Parrainage des PAES Niçois
Avatar de l’utilisateur
Caillou
Elu UFR
 
Messages: 472
Inscription: 03 Sep 2008, 21:48
Localisation: Nice

Re: Correction détaillé QCM2/3 Tut 3

Messagepar louantdel » 28 Oct 2010, 17:37

Dites merci, parce que ca correction est parfaite ;)
Avatar de l’utilisateur
louantdel
Tut' Chimie
 
Messages: 69
Inscription: 23 Sep 2009, 17:54
Localisation: Nice

Re: Correction détaillé QCM2/3 Tut 3

Messagepar Will » 30 Oct 2010, 14:55

Juste comme ça si vous utilisez word pour taper des formules c'est normal que ce soit long, il y'a des alternatives, plus rapides et gratuites comme open office que je vous recommande, et le résultat d'impression est même un peu plus beau ^^

Merci pour la correction sinon :D
Avatar de l’utilisateur
Will
Carabin addicted
 
Messages: 1011
Inscription: 31 Juil 2010, 19:59

Re: Correction détaillé QCM2/3 Tut 3

Messagepar ideologie » 31 Oct 2010, 12:11

T'aurais pu un peu mieux écrire! (ça va je blague :mrgreen: !)
Pharmacie

Président du Tutorat Associatif de Marseille 2012/2013(TAM)
Avatar de l’utilisateur
ideologie
Carabin addicted
 
Messages: 1022
Inscription: 19 Sep 2009, 16:10

Re: Correction détaillé QCM2/3 Tut 3

Messagepar mohaita » 15 Nov 2010, 00:33

BONSOIR
POUR QCM 3 j ai pas cmpris pourquoi vous ne calculez pas delta h f de o2 :oops: :oops: :oops: MERCI DE M AVOIR ECLAIRE CET AMBIGUITE
mohaita
Carabin débutant
 
Messages: 31
Inscription: 26 Oct 2010, 11:11

Re: Correction détaillé QCM2/3 Tut 3

Messagepar Caillou » 17 Nov 2010, 12:35

Alors alors :
Pour le QCM 3 on n'utilise pas l'enthalpie standard de formation du H2(g) parce que c'est un corps simple, donc elle vaut 0 !

L'enthalpie standard de formation c'est la variation d'enthalpie d'une réaction qui se fait à partir de corps simples !
Corps simples : H2(g), O2(g), N2(g), C(s) ...

Va voir Diapo 23 du cour de Thermodynamique !
Tuteur Chimie Générale 2010|2011 Ronéoiste Chimie Organique

Elu UFR Médecine
Co-Fondateur du Parrainage des PAES Niçois
Avatar de l’utilisateur
Caillou
Elu UFR
 
Messages: 472
Inscription: 03 Sep 2008, 21:48
Localisation: Nice


Retourner vers Chimie Générale



Qui est en ligne

Utilisateurs parcourant ce forum: Aucun utilisateur enregistré et 1 invité